精英家教网 > 高中数学 > 题目详情

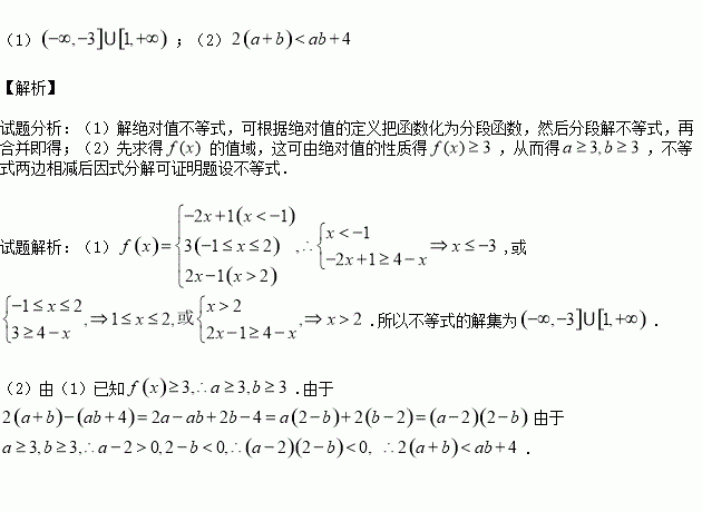
已知函数.

(1)解关于的不等式

(2)设,试比较的大小.

练习册系列答案
相关习题

科目:高中数学 来源:2016届云南昆明一中高三仿真模拟七数学(理)试卷(解析版) 题型:解答题

如图,直线与直径为4的圆交于两点,且,直线切圆于点.

(1)证明:

(2)若,延长于点,求证:.

查看答案和解析>>

科目:高中数学 来源:2016届宁夏高三五模考试数学(文)试卷(解析版) 题型:选择题

如果实数满足条件,那么的最大值为( )

A.2 B.1 C.-2 D.-3

查看答案和解析>>

科目:高中数学 来源:2016届宁夏高三五模考试数学(理)试卷(解析版) 题型:选择题

已知定义在上的函数满足:①对任意,有;②当,有,若函数,则函数在区间上的零点个数是( )

A.9 B.10 C.11 D.12

查看答案和解析>>

科目:高中数学 来源:2016届宁夏高三五模考试数学(理)试卷(解析版) 题型:选择题

同时具有性质①最小正周期是;②图象关于直线对称;③在上是增函数的一个函数为( )

A. B.

C. D.

查看答案和解析>>

科目:高中数学 来源:2016届湖南长沙市高三月考八数学(文)试卷(解析版) 题型:解答题

如图,设四棱锥的底面为菱形, 且.

(1)证明:平面平面

(2)求四棱锥的体积.

查看答案和解析>>

科目:高中数学 来源:2016届湖南长沙市高三月考八数学(文)试卷(解析版) 题型:选择题

在数列中,若为常数),则称为“等方差数列”.下列是对“等方差数列”的判断:

①若是等方差数列,则是等差数列

②若数列是等方差数列,则数列是等方差数列

是等方差数列

④若是等方差数列,则为常数)也是等方差数列.其中正确命题的个数为( )

A. B. C. D.

查看答案和解析>>

科目:高中数学 来源:2016届湖南长沙市高三月考八数学(理)试卷(解析版) 题型:解答题

某学校研究性学习小组对该校高三学生视力情况进行调查,在髙三的全体名学生中随机抽取了名学生的体检表,并得到如图的频率分布直方图.

(1)若直方图中后四组的频数成等差数列,试估计全年级视力在以下的人数;

(2)学习小组成员发现,学习成绩突出的学生,近视的比较多,为了研究学生的视力与学习成绩是否有关系,对年级名次在名和名的学生进行了调查,得到表中数据,根据表中的数据,能否有的把握认为视力与学习成绩有关系?

(3)在(2)中调查的名学生中,按照分层抽样在不近视的学生中抽取了人,进一步调查他们良好的护眼习惯,求在这人中任取人,恰好有人的年级名次在名的概率.

附:

查看答案和解析>>

科目:高中数学 来源:2017届湖北黄石市高三9月调研数学(文)试卷(解析版) 题型:选择题

已知向量,则( )

A.3 B.-3 C. D.

查看答案和解析>>

同步练习册答案