精英家教网 > 高中数学 > 题目详情

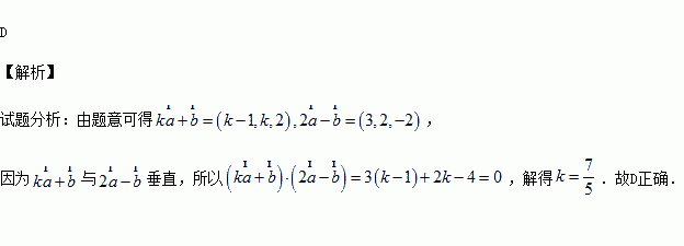
已知向量,且互相垂直,则的值是( )

A.1 B. C. D.

练习册系列答案
相关习题

科目:高中数学 来源:2015-2016学年湖北省等高二上学期期中联考文科数学试卷(解析版) 题型:选择题

直线与圆交于两点,则是原点)的面积为( )

A. B. C. D.

查看答案和解析>>

科目:高中数学 来源:2015-2016学年湖北省襄阳市等高一上学期期中联考数学试卷(解析版) 题型:解答题

有一种候鸟每年都按一定的路线迁陟,飞往繁殖地产卵.科学家经过测量发现候鸟的飞行速度可以表示为函数,单位是,其中表示候鸟每分钟耗氧量的单位数,表示测量过程中候鸟每分钟的耗氧偏差.(参考数据:

(1)若,候鸟每分钟的耗氧量为个单位时,它的飞行速度是多少

(2)若,候鸟停下休息时,它每分钟的耗氧量为多少个单位?

(3)若雄鸟的飞行速度为,雌鸟的飞行速度为,那么此时雄鸟每分钟的耗氧量是雌鸟每分钟的耗氧量的多少倍?

查看答案和解析>>

科目:高中数学 来源:2015-2016学年山东省枣庄市高二10月学情调查数学试卷(解析版) 题型:填空题

若数列满足: 则其前2013项的和为

查看答案和解析>>

科目:高中数学 来源:2015-2016学年湖南株洲二中高二上第三次月考理数学卷(解析版) 题型:解答题

已知函数在(1,+∞)上是增函数,且a>0.

(1)求a的取值范围;

(2)求函数在[0,+∞)上的最大值;

查看答案和解析>>

科目:高中数学 来源:2016届云南师大附中高考适应性月考四文科数学试卷(解析版) 题型:选择题

设集合,则( )

A. B. C. D.

查看答案和解析>>

科目:高中数学 来源:2016届辽宁省大连市高三12月月考理科数学试卷(解析版) 题型:解答题

已知数列,函数

(1)若正项数列满足,试求出,由此归纳出通项,并加以证明;

(2)若正项数列满足(n∈N*),数列的前项和为Tn,且,求证:

查看答案和解析>>

科目:高中数学 来源:2016届河北省邯郸市高三一轮收官考试一文科数学试卷(解析版) 题型:解答题

年“双节”期间,高速公路车辆较多.某调查公司在一服务区从七座以下小型汽车中按进服务区的先后每间隔辆就抽取一辆的抽样方法抽取名驾驶员进行询问调查,将他们在某段高速公路的车速(/)分成六段:后得到如图的频率分布直方图.

(1)求这辆小型车辆车速的众数和中位数的估计值;

(2)若从车速在的车辆中任抽取辆,求车速在的车辆恰有一辆的概率.

查看答案和解析>>

科目:高中数学 来源:2016届福建省高三上第二次月考理科数学试卷(解析版) 题型:解答题

(本小题满分12分)

的内角A、B、C的对边长分别为a、b、c,且3+3-3=4bc .

(Ⅰ) 求的值;

(Ⅱ)求的值.

查看答案和解析>>

同步练习册答案