精英家教网 > 高中数学 > 题目详情

一个几何体的三视图如图,该几何体的表面积为( )

A.280 B.292 C.360 D.372

练习册系列答案
相关习题

科目:高中数学 来源:2016届陕西省渭南市高三上第三次月考数学试卷(解析版) 题型:解答题

(2015•西安校级二模) 如图,AB是⊙O的直径,C、F是⊙O上的点,AC是∠BAF的平分线,过点C作CD⊥AF,交AF的延长线于点D.

(1)求证:CD是⊙O的切线.

(2)过C点作CM⊥AB,垂足为M,求证:AM•MB=DF•DA.

查看答案和解析>>

科目:高中数学 来源:2016届宁夏石嘴山三中高三上第三次适应性考试理科数学试卷(解析版) 题型:选择题

(2015•河南二模)设函数y=f(x)的定义域为D,若对于任意的x1,x2∈D,当x1+x2=2a时,恒有f(x1)+f(x2)=2b,则称点(a,b)为函数y=f(x)图象的对称中心.研究函数f(x)=x3+sinx+1的某一个对称中心,并利用对称中心的上述定义,可得到f(﹣2015)+f(﹣2014)+f(﹣2013)+…+f(2014)+f(2015)=( )

A.0 B.2014 C.4028 D.4031

查看答案和解析>>

科目:高中数学 来源:2016届重庆市高三上学期一诊模拟理科数学试卷(解析版) 题型:填空题

已知函数_____________.

查看答案和解析>>

科目:高中数学 来源:2016届重庆市高三上学期一诊模拟文科数学试卷(解析版) 题型:选择题

中,内角的对边长分别为,已知,且,则( )

A.6 B.4 C.2 D.1

查看答案和解析>>

科目:高中数学 来源:2016届河北省高三上学期周日测试理科数学试卷(解析版) 题型:解答题

如图,在平面直角坐标系中,离心率为的椭圆)的左顶点为,过原点的直线(与坐标轴不重合)与椭圆交于两点,直线分别与轴交于两点.当直线斜率为时,

(1)求椭圆的标准方程;

(2)试问以为直径的圆是否经过定点(与直线的斜率无关)?请证明你的结论.

查看答案和解析>>

科目:高中数学 来源:2015-2016学年四川省高二上期中文科数学试卷(解析版) 题型:填空题

如图是一个几何体的三视图,该几何体的体积是

查看答案和解析>>

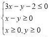
科目:高中数学 来源:2016届云南省玉溪市高三第四次月考文科数学试卷(解析版) 题型:填空题

满足约束条件,若目标函数 的最大值为,则的图象向右平移后的表达式为___________.

查看答案和解析>>

科目:高中数学 来源:2015-2016学年辽宁省高二上10月月考理科数学试卷(解析版) 题型:选择题

(2012•许昌县一模)先后拋掷两枚质地均匀的正方体骰子,它们的六个面分别标有点数1,2,3,4,5,6,设骰子朝上的面的点数分别是x,y则log(2x)y=1的概率是( )

A. B. C. D.

查看答案和解析>>

同步练习册答案