精英家教网 > 高中数学 > 题目详情

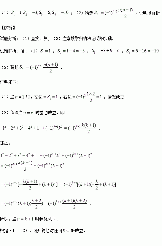
已知数列.

(1)计算的值;

(2)根据(1)中的结果,猜想的表达式,并用数学归纳法进行证明.

练习册系列答案
相关习题

科目:高中数学 来源:2015-2016学年江苏泰州中学高二下第一次质检理科数学卷(解析版) 题型:填空题

某校对高一新生进行军训,高一(1)班学生54人,高一(2)班学生42人,现在要用分层抽样的方法,从两个班中抽出部分学生参加方队进行军训成果展示,则(1)班,(2)班分别被抽取的人数是_______.

查看答案和解析>>

科目:高中数学 来源:2015-2016学年河北省高二4月月考理科数学试卷(解析版) 题型:选择题

,则( )

A. B. C. D.

查看答案和解析>>

科目:高中数学 来源:2015-2016学年山西省高二下期中文科数学试卷(解析版) 题型:选择题

在平面几何中,若正三角形的内切圆面积为,外接圆面积为,则,类比上述命题,在空间中,若正四面体的内切球体积,外接球体积为,则( )

A. B. C. D.

查看答案和解析>>

科目:高中数学 来源:2015-2016学年山西省高二下期中文科数学试卷(解析版) 题型:选择题

是两个等差数列,若,则也是等差数列,类比上述性质,设是等比数列,则下列说法正确的是( )

A.若,则是等比数列

B.若,则是等比数列

C.若,则是等比数列

D.以上说明均不正确

查看答案和解析>>

科目:高中数学 来源:2015-2016学年山西省高二下期中理科数学试卷(解析版) 题型:填空题

若函数有两个极值点,则实数的取值范围是 .

查看答案和解析>>

科目:高中数学 来源:2015-2016学年山西省高二下期中理科数学试卷(解析版) 题型:选择题

函数上是减函数,在上是增函数,函数上是减函数,在上是增函数,函数上是减函数,在上是增函数,…利用上述所提供的信息解决下列问题:若函数的值域是,则实数的值为( )

A.1 B.2 C.3 D.4

查看答案和解析>>

科目:高中数学 来源:2015-2016学年河北省高二下期中文科数学试卷(解析版) 题型:填空题

已知正三棱锥,点都在半径为的球面上,若两两互相垂直,则球心到截面的距离为________.

查看答案和解析>>

科目:高中数学 来源:2015-2016学年山西省高二下期中文科数学试卷(解析版) 题型:解答题

通过随机询问某校名高中学生在购买食物时是否看营养说明,得到如下的列联表:

性别与看营养说明列联表 单位:名

(1)从这名女生中按是否看营养说明采取分层抽样,抽取一个容量为的样本,问样本中看与不看营养说明的女生各有多少名?

(2)根据以上列联表,能否在犯错误的概率不超过的前提下认为性别与是否看营养说明之间有关系?

下面的临界值表供参考:

(参考公式:,其中

查看答案和解析>>

同步练习册答案