精英家教网 > 高中数学 > 题目详情

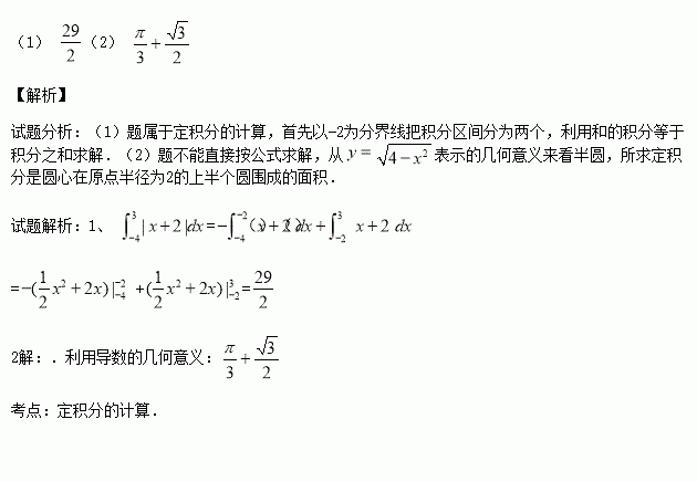
(本小题满分分)(1)

(2)

练习册系列答案
相关习题

科目:高中数学 来源:2014-2015学年广东省清远市高二下学期3月考理科数学试卷(解析版) 题型:选择题

用反证法证明命题:“三角形的内角中至少有一个不大于60度”时,反设正确的是( )。

A.假设三内角都不大于60度

B.假设三内角都大于60度

C.假设三内角至多有一个大于60度

D.假设三内角至多有两个大于60度

查看答案和解析>>

科目:高中数学 来源:2014-2015学年广东省揭阳市高二下学期第一次段考理科数学试卷(解析版) 题型:选择题

若变量满足约束条件,则的取值范围是( )

A. B. C. D.

查看答案和解析>>

科目:高中数学 来源:2014-2015学年广东省高一下学期第一次质检数学试卷(解析版) 题型:选择题

在三角形中,,则的大小为( )

A. B. C. D.

查看答案和解析>>

科目:高中数学 来源:2014-2015学年广东省高二下学期第一次质检理科数学卷(解析版) 题型:解答题

(本题满分14分)已知函数在点处的切线方程为

(Ⅰ)求的解析式;

(Ⅱ)求的单调区间;

(Ⅲ)若在区间内,恒有成立,求的取值范围.

查看答案和解析>>

科目:高中数学 来源:2014-2015学年广东省高二下学期第一次质检理科数学卷(解析版) 题型:填空题

已知曲线在点处的切线与轴平行,则点的坐标是

查看答案和解析>>

科目:高中数学 来源:2014-2015学年广东省高二下学期第一次质检理科数学卷(解析版) 题型:选择题

函数的导数是( )

A. B. C. D.

查看答案和解析>>

科目:高中数学 来源:2014-2015学年福建省四地六校高二下学期第一次联考理科数学试卷(解析版) 题型:选择题

有5位学生和2位老师并坐一排合影,若教师不能坐在两端,且要坐在一起,则有多少种不同坐法( )

A.7! 种 B.240种 C.480种 D.960种

查看答案和解析>>

科目:高中数学 来源:2014-2015学年安徽省高一下学期第一次质量检测数学试卷(解析版) 题型:选择题

下列四个命题中,正确的是( )

A.函数是奇函数

B.函数的最小正周期是

C.函数上是增函数

D.函数在区间 上是增函数

查看答案和解析>>

同步练习册答案