精英家教网 > 高中数学 > 题目详情
已知水平放置的△ABC的直观图△A′B′C′(斜二测画法)是边长为a的正三角形,则原△ABC的面积为( )
A.a2
B.a2
C.a2
D.a2
【答案】分析:根据斜二测法画直观图的步骤,把给出的直观图还原回原图形,然后直接利用三角形的面积公式求解.
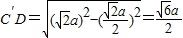
解答:解:把边长为a的正三角形ABC 还原回原三角形如图,
过C作CD垂直于x轴于D,因为△ABC是边长为a的正三角形,
所以
过C作CE平行于x轴交y轴于E,则
所以,C对应的原图形中的点C在平面直角坐标系xoy下的坐标为
即原三角形ABC底边AB上的高为
所以,
故选D.
点评:本题考查了斜二测画直观图的方法,运用斜二侧画法画水平放置的平面图形的直观图时,在原坐标系下平行于坐标轴或在坐标轴上的线段在新系下仍然平行于坐标轴或在坐标轴上,平行于x轴或在x轴上的长度不变,平行于y轴或在y轴上的,长度变为原来的一半,该类问题有个二级结论,即原平面图形的面积和其直观图的面积比为,此题是基础题.
练习册系列答案
相关习题

科目:高中数学 来源: 题型:

精英家教网一走廊拐角下的横截面如图所示,已知内壁FG和外壁BC都是半径为1m的四分之一圆弧,AB,DC分别与圆弧BC相切于B、C两点,EF∥AB,GH∥CD,且两组平行墙壁间的走廊宽度都是1m.
(1)若水平放置的木棒MN的两个端点M、N分别在外壁CD和AB上,且木棒与内壁圆弧相切于点P.设∠CMN=θ(rad),试用θ表示木棒MN和长度f(θ).
(2)若一根水平放置的木棒能通过该走廊拐角处,求木棒长度的最大值.

查看答案和解析>>

科目:高中数学 来源: 题型:

如图,P-ABCD是底面水平放置且△PAB在正面的正四棱锥,已知PA=
3
,AB=2.
(1)画出这个正四棱锥的正视图(或称主视图),并直接标明正视图各边的长;
(2)求该四棱锥的体积.

查看答案和解析>>

科目:高中数学 来源: 题型:

水平放置的△ABC斜二测直观图如图所示,已知A′C′=3,B′C′=2,则△ABC中AB边上中线的实际长度为
5
2
5
2

查看答案和解析>>

科目:高中数学 来源: 题型:

水平放置的△ABC的斜二测直观图如图所示,已知A′C′=3,B′C′=2,则AB边上的中线的实际长度为
5
2
5
2

查看答案和解析>>

科目:高中数学 来源: 题型:

水平放置的△ABC的斜二测直观图如图所示,已知A′C′=3,B′C′=2,则AB边上的中线的实际长度为___________.

查看答案和解析>>

同步练习册答案