精英家教网 > 高中数学 > 题目详情

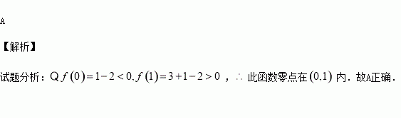
函数的零点所在的一个区间是( )

A. B. C. D.

练习册系列答案
相关习题

科目:高中数学 来源:2016届重庆市高三12月月考文科数学试卷(解析版) 题型:解答题

已知圆轴的左右交点分别为,直线经过,直线经过的交点,且的斜率乘积为

(1)求点的轨迹方程;

(2)若点在圆上,,且,当最大时,求弦的长度.

查看答案和解析>>

科目:高中数学 来源:2015-2016学年湖南省高二上期中数学试卷(解析版) 题型:解答题

已知各项均为正数的数列满足

(1)求证:数列是等比数列;

(2)当取何值时,取最大值,并求出最大值;

(3)若对任意恒成立,求实数的取值范围.

查看答案和解析>>

科目:高中数学 来源:2015-2016学年河南省林州市高一上期中数学试卷(解析版) 题型:选择题

偶函数在区间上单调递减,则有

A.

B.

C.

D.

查看答案和解析>>

科目:高中数学 来源:2015-2016学年河北邢台一中高二上第三次月考理科数学卷(解析版) 题型:选择题

下列说法正确的是( )

A.命题“若,则”的逆命题是“若,则

B.命题“若,则”的否命题是“若,则

C.已知,命题“若,则”的逆否命题是真命题

D.若,则“”是“”的充分条件

查看答案和解析>>

科目:高中数学 来源:2015-2016学年福建省高一上期中数学试卷(解析版) 题型:选择题

已知x,y满足约束条件,若z=ax+y的最大值为4,则a的值为( )

A.3 B.2 C.-2 D.-3

查看答案和解析>>

科目:高中数学 来源:2015-2016学年四川省实验学校高一上学期期中考试数学试卷(解析版) 题型:选择题

下列各组中的两个函数是同一函数的为( )

A、 B、

C、 D、

查看答案和解析>>

科目:高中数学 来源:2015-2016学年贵州省高二上滾动训练2数学试卷(解析版) 题型:选择题

设变量x,y满足约束条件则目标函数z=3x-y的最大值为( )

A.-4 B.0 C. D.4

查看答案和解析>>

科目:高中数学 来源:2016届云南师范大附中高考适应性月考三理科数学试卷(解析版) 题型:解答题

2015男篮亚锦赛决赛阶段,中国男篮以9连胜的不败战绩赢得第28届亚锦赛冠军,同时拿到亚洲唯一1张直通里约奥运会的入场券.赛后,中国男篮主力易建联荣膺本届亚锦赛MVP(最有价值球员),下表是易建联在这9场比赛中投篮的统计数据.

比分

易建联技术统计

投篮命中

罚球命中

全场得分

真实得分率

中国91-42新加坡

3/7

6/7

12

59.52%

中国76-73韩国

7/13

6/8

20

60.53%

中国84-67约旦

12/20

2/5

26

58.56%

中国75-62哈萨克期坦

5/7

5/5

15

81.52%

中国90-72黎巴嫩

7/11

5/5

19

71.97%

中国85-69卡塔尔

4/10

4/4

13

55.27%

中国104-58印度

8/12

5/5

21

73.94%

中国70-57伊朗

5/10

2/4

13

55.27%

中国78-67菲律宾

4/14

3/6

11

33.05%

注:(1)表中表示出手次命中次;

(2)(真实得分率)是衡量球员进攻的效率,其计算公式为:

(Ⅰ)从上述9场比赛中随机选择一场,求易建联在该场比赛中超过的概率;

(Ⅱ)从上述9场比赛中随机选择两场,求易建联在这两场比赛中至少有一场超过的概率;

(Ⅲ)用来表示易建联某场的得分,用来表示中国队该场的总分,画出散点图如图所示,请根据散点图判断之间是否具有线性相关关系?结合实际简单说明理由.

查看答案和解析>>

同步练习册答案