精英家教网 > 高中数学 > 题目详情

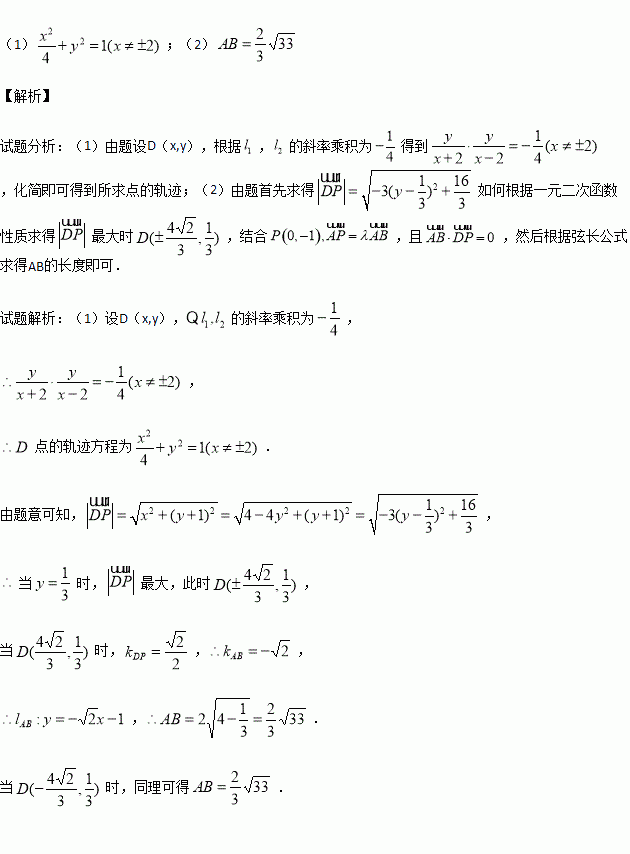
已知圆轴的左右交点分别为,直线经过,直线经过的交点,且的斜率乘积为

(1)求点的轨迹方程;

(2)若点在圆上,,且,当最大时,求弦的长度.

练习册系列答案
相关习题

科目:高中数学 来源:2016届江苏省高三上学期第一次月考数学试卷(解析版) 题型:填空题

函数上的奇函数,满足,当时,,则

查看答案和解析>>

科目:高中数学 来源:2015-2016学年湖南省、攸县一中高二上期中文科数学试卷(解析版) 题型:选择题

不等式的解集是( )

A.

B.

C.

D.

查看答案和解析>>

科目:高中数学 来源:2015-2016学年辽宁省分校高一12月月考数学卷(解析版) 题型:解答题

已知函数,且).

(1)求函数的定义域和值域;

(2)若函数有最小值为,求的值.

查看答案和解析>>

科目:高中数学 来源:2016届河北省邯郸市高三一轮收官考试二理科数学试卷(解析版) 题型:填空题

已知展开式的二项式系数已知为64,则其展开式中常数项是

查看答案和解析>>

科目:高中数学 来源:2016届重庆市高三12月月考文科数学试卷(解析版) 题型:选择题

函数最小正周期是( )

A. B. C. D.

查看答案和解析>>

科目:高中数学 来源:2015-2016学年江苏省江阴市华士、成化、山观三校高二上期中数学卷(解析版) 题型:解答题

如图,在正方体的棱长为为棱上的一动点.

(1)若为棱的中点,

①求四棱锥的体积

②求证:面

(2)若,求证:为棱的中点.

查看答案和解析>>

科目:高中数学 来源:2015-2016学年湖南省株洲市高二上期中数学试卷(解析版) 题型:选择题

已知,则“”是“”的( )

A.充分不必要条件

B.必要不充分条件

C.充要条件

D.既不充分也不必要条件

查看答案和解析>>

科目:高中数学 来源:2015-2016学年海南省高一上第三次月考数学试卷(解析版) 题型:选择题

函数的零点所在的一个区间是( )

A. B. C. D.

查看答案和解析>>

同步练习册答案