精英家教网 > 高中数学 > 题目详情

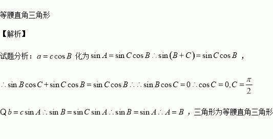
已知分别是的三个内角所对的边,若,且,则的形状是_

练习册系列答案
相关习题

科目:高中数学 来源:2015-2016学年广东省普宁市高一上学期期中考试数学试卷(解析版) 题型:解答题

(本小题满分12分)已知平面向量

(1)若,求的值;

(2)若,求|-|.

查看答案和解析>>

科目:高中数学 来源:2015-2016学年四川成都市六校高二上学期期中联考理科数学试卷(解析版) 题型:解答题

(本小题满分10分)如图甲,⊙的直径,圆上两点在直径的两侧,使.沿直径折起,使两个半圆所在的平面互相垂直(如图乙),的中点.根据图乙解答下列各题:

(1)求点的距离;

(2)在弧上是否存在一点,使得∥平面?若存在,试确定点的位置;若不存在,请说明理由.

查看答案和解析>>

科目:高中数学 来源:2015-2016学年河北省高一上学期第一次月考数学试卷(解析版) 题型:解答题

已知集合A={x| }, B={x| 5<x<10}, C={x|x>a}

(1)求

(2)若,求a的取值范围

查看答案和解析>>

科目:高中数学 来源:2015-2016学年广东省普宁市高一上学期期中考试数学试卷(解析版) 题型:选择题

若指数函数上是增函数, 则实数的取值范围是( )

A. B. C. D.

查看答案和解析>>

科目:高中数学 来源:2015-2016学年福建厦门双十中学高二上期中理科数学试卷(解析版) 题型:填空题

在△ABC中,角A,B,C所对的边分别为a,b,c,若(b-c)cosA=acosC,则cosA=_____

查看答案和解析>>

科目:高中数学 来源:2014-2015年河北保定一中高二下第一次段考理数学试卷(解析版) 题型:解答题

(本小题满分10分)已知函数f(x)=ax3+cx+d(a≠0)是R上的奇函数,当x=1时,f(x)取得极值-2.

(1)求函数f(x)的解析式;

(2)求函数f(x)的单调区间和极大值;

查看答案和解析>>

科目:高中数学 来源:2014-2015学年河北省高二上第二次段考理科数学试卷(解析版) 题型:选择题

直线与圆的位置关系是 ( )

A.相交 B.相切 C.相离 D.不确定

查看答案和解析>>

科目:高中数学 来源:2016届浙江省高三期中文科数学试卷(解析版) 题型:填空题

设函数都是实数).则下列叙述中,正确的序号是 .(请把所有叙述正确的序号都填上)

①对任意实数,函数上是单调函数;

②存在实数,函数上不是单调函数;

③对任意实数,函数的图像都是中心对称图形;

④存在实数,使得函数的图像不是中心对称图形.

查看答案和解析>>

同步练习册答案