精英家教网 > 高中数学 > 题目详情

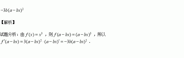
,(是常数),则的导数等于 .

练习册系列答案
相关习题

科目:高中数学 来源:2016届海南省高考模拟十文科数学试卷(解析版) 题型:填空题

已知圆轴负半轴的交点为为直线上一点,过作圆的切线,切点为,若,则的最大值为 .

查看答案和解析>>

科目:高中数学 来源:2015-2016学年辽宁省高二下期中文科数学试卷(解析版) 题型:解答题

是奇数,证明:没有有理根.

查看答案和解析>>

科目:高中数学 来源:2015-2016学年辽宁省高二下期中文科数学试卷(解析版) 题型:选择题

已知,则为( )

A.3 B.-3 C.6 D.-6

查看答案和解析>>

科目:高中数学 来源:2015-2016学年辽宁省高二下期中理科数学试卷(解析版) 题型:解答题

设函数.

(1)若函数上单调递增,求的取值范围;

(2)当时,设函数的最小值为,求证:.

查看答案和解析>>

科目:高中数学 来源:2015-2016学年辽宁省高二下期中理科数学试卷(解析版) 题型:选择题

若函数有两个零点,则实数的取值范围为( )

A. B. C. D.

查看答案和解析>>

科目:高中数学 来源:2015-2016学年辽宁省高二下期中理科数学试卷(解析版) 题型:选择题

复数是虚数单位)的虚部是( )

A.1 B. C. D.

查看答案和解析>>

科目:高中数学 来源:2015-2016学年北大附中河南分校高二下期中文科数学试卷(解析版) 题型:选择题

若复数在复平面内对应的点位于( )

A.第一象限 B.第二象限 C.第三象限 D.第四象限

查看答案和解析>>

科目:高中数学 来源:2016届安徽省高三下学期组卷一文科数学试卷(解析版) 题型:选择题

已知是函数的一个零点,若,则( )

A. B.

C. D.

查看答案和解析>>

同步练习册答案