精英家教网 > 高中数学 > 题目详情

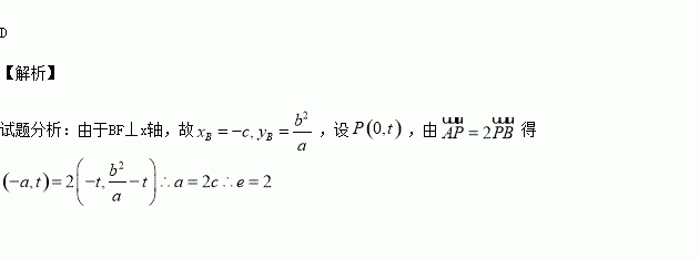
已知椭圆的左焦点为F,右顶点为A,点B在椭圆上,且轴,直线AB交y轴于点P,若,则椭圆的离心率是( )

A. B. C. D.

练习册系列答案
相关习题

科目:高中数学 来源:2016届安徽省高三上第五次月考文科数学试卷(解析版) 题型:选择题

与椭圆共焦点且过点的双曲线方程是( )

A.

B.

C.

D.

查看答案和解析>>

科目:高中数学 来源:2016届河北省高三上学期期中考试理科数学试卷(解析版) 题型:选择题

函数的图象如下图所示,为了得到的图像,可以将的图像 ( )

A.向右平移个单位长度

B.向右平移个单位长度

C.向左平移个单位长度

D.向左平移个单位长度

查看答案和解析>>

科目:高中数学 来源:2015-2016学年湖北航天高中等校高二上学期期中联考数学试卷(解析版) 题型:填空题

假设要考察某公司生产的500克袋装牛奶的质量是否达标,现从800袋牛奶中抽取60袋牛奶进行检验,利用随机数表抽样时,先将800袋牛奶按000,001,…,799进行编号,如果从随机数表第8行第7列开始向右读,请你依次写出最先检测的5袋牛奶的编号

(下面摘取了随机数表第7行至第9行)

8442 1753 3157 2455 0688 7704 7447 6721 7633 5025 8392 1206 76

6301 6378 5916 9556 6719 9810 5071 7512 8673 5807 4439 5238 79

3321 1234 2978 6456 0782 5242 0744 3815 5100 1342 9966 0279 54

查看答案和解析>>

科目:高中数学 来源:2015-2016学年河北省邯郸市等校高二上学期期中理科数学试卷(解析版) 题型:解答题

已知数列是等比数列,,数列的前项和满足

(Ⅰ)求数列的通项公式;

(Ⅱ)若,求数列的前项和

查看答案和解析>>

科目:高中数学 来源:2015-2016学年河北省邯郸市等校高二上学期期中理科数学试卷(解析版) 题型:选择题

”是 “”的( )

A.充分不必要条件 B.必要不充分条件

C.充要条件 D.既不充分也不必要条件

查看答案和解析>>

科目:高中数学 来源:2015-2016学年山东省高二上学期期中考试文科数学试卷(解析版) 题型:选择题

对于任意实数,命题①,则;②,则;③若,则;④ 若,则;⑤,则 .其中真命题的个数是( )

A.1 B.2 C.3 D.4

查看答案和解析>>

科目:高中数学 来源:2015-2016学年湖北省等高二上学期期中联考文科数学试卷(解析版) 题型:选择题

过两点的直线的倾斜角为,则的值为( )

A.-1或-2 B.-1 C.-2 D.1

查看答案和解析>>

科目:高中数学 来源:2015-2016学年湖北省襄阳市等高一上学期期中联考数学试卷(解析版) 题型:填空题

定义在实数集上的函数,如果存在函数为常数),使得对一切实数都成立,那么称为函数的一个“线性覆盖函数”.给出如下四个结论:

①对于给定的函数,其“线性覆盖函数”可能不存在,也可能有无数个;

②定义域和值域都是的函数不存在“线性覆盖函数”;

为函数的一个“线性覆盖函数”;

为函数的一个“线性覆盖函数”.

其中所有正确结论的序号是___________.

查看答案和解析>>

同步练习册答案