精英家教网 > 高中数学 > 题目详情
已知函数f(x)=x2+(x≠0,a∈R)
(1)当a为何值时,函数f(x)为偶函数;
(2)若f(x)在区间[2,+∞)是增函数,求实数a的取值范围.
【答案】分析:(1)由已知中函数,根据函数奇偶性的定义,可判断出a=0时,f(x)=x2为偶函数;
(2)根据f(x)在区间[2,+∞)是增函数,结合函数单调性的定义,可得当x2>x1≥2,f(x1)-f(x2)<0,由此构造关于a的不等式,解不等式可得实数a的取值范围.
解答:解:(1)当a=0时,f(x)=x2为偶函数;当a≠0时,f(x)既不是奇函数也不是偶函数.
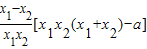
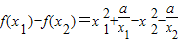
(2)设x2>x1≥2,=
由x2>x1≥2得x1x2(x1+x2)>16,x1-x2<0,x1x2>0
要使f(x)在区间[2,+∞)是增函数只需f(x1)-f(x2)<0,
即x1x2(x1+x2)-a>0恒成立,则a≤16.
另解(导数法):,要使f(x)在区间[2,+∞)是增函数,只需当x≥2时,f'(x)≥0恒成立,即,则a≤2x3∈[16,+∞)恒成立,
故当a≤16时,f(x)在区间[2,+∞)是增函数.
点评:本题考查的知识点是函数奇偶性的性质,函数单调性的性质,熟练掌握函数奇偶性和单调性的定义,将已知转化为关于参数a的方程(不等式)是解答本题的关键.
练习册系列答案
相关习题

科目:高中数学 来源: 题型:

精英家教网已知函数f(x)=Asin(ωx+φ)(x∈R,A>0,ω>0,|φ|<
π
2
)的部分图象如图所示,则f(x)的解析式是(  )
A、f(x)=2sin(πx+
π
6
)(x∈R)
B、f(x)=2sin(2πx+
π
6
)(x∈R)
C、f(x)=2sin(πx+
π
3
)(x∈R)
D、f(x)=2sin(2πx+
π
3
)(x∈R)

查看答案和解析>>

科目:高中数学 来源: 题型:

(2012•深圳一模)已知函数f(x)=
1
3
x3+bx2+cx+d
,设曲线y=f(x)在与x轴交点处的切线为y=4x-12,f′(x)为f(x)的导函数,且满足f′(2-x)=f′(x).
(1)求f(x);
(2)设g(x)=x
f′(x)
 , m>0
,求函数g(x)在[0,m]上的最大值;
(3)设h(x)=lnf′(x),若对一切x∈[0,1],不等式h(x+1-t)<h(2x+2)恒成立,求实数t的取值范围.

查看答案和解析>>

科目:高中数学 来源: 题型:

(2011•上海模拟)已知函数f(x)=(
x
a
-1)2+(
b
x
-1)2,x∈(0,+∞)
,其中0<a<b.
(1)当a=1,b=2时,求f(x)的最小值;
(2)若f(a)≥2m-1对任意0<a<b恒成立,求实数m的取值范围;
(3)设k、c>0,当a=k2,b=(k+c)2时,记f(x)=f1(x);当a=(k+c)2,b=(k+2c)2时,记f(x)=f2(x).
求证:f1(x)+f2(x)>
4c2
k(k+c)

查看答案和解析>>

科目:高中数学 来源:上海模拟 题型:解答题

已知函数f(x)=(
x
a
-1)2+(
b
x
-1)2,x∈(0,+∞)
,其中0<a<b.
(1)当a=1,b=2时,求f(x)的最小值;
(2)若f(a)≥2m-1对任意0<a<b恒成立,求实数m的取值范围;
(3)设k、c>0,当a=k2,b=(k+c)2时,记f(x)=f1(x);当a=(k+c)2,b=(k+2c)2时,记f(x)=f2(x).
求证:f1(x)+f2(x)>
4c2
k(k+c)

查看答案和解析>>

科目:高中数学 来源:深圳一模 题型:解答题

已知函数f(x)=
1
3
x3+bx2+cx+d
,设曲线y=f(x)在与x轴交点处的切线为y=4x-12,f′(x)为f(x)的导函数,且满足f′(2-x)=f′(x).
(1)求f(x);
(2)设g(x)=x
f′(x)
 , m>0
,求函数g(x)在[0,m]上的最大值;
(3)设h(x)=lnf′(x),若对一切x∈[0,1],不等式h(x+1-t)<h(2x+2)恒成立,求实数t的取值范围.

查看答案和解析>>

同步练习册答案