精英家教网 > 高中数学 > 题目详情

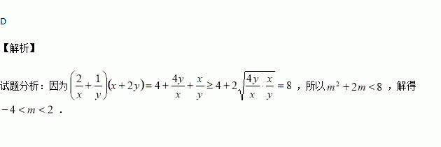
已知,且,若恒成立,则实数的值取值范围是( )

A. B.

C. D.

练习册系列答案
相关习题

科目:高中数学 来源:2015-2016学年江西省高二上第三次理科数学试卷(解析版) 题型:选择题

参数方程为参数)化为普通方程为( )

A. B.

C. D.

查看答案和解析>>

科目:高中数学 来源:2015-2016学年内蒙古包头市高一上期中数学试卷(解析版) 题型:填空题

已知,若,则实数的取值范围是

查看答案和解析>>

科目:高中数学 来源:2016届浙江省高三上学期期中理科数学试卷(解析版) 题型:填空题

已知的夹角为,若,则的最小值为

查看答案和解析>>

科目:高中数学 来源:2016届江苏省高三上学期第一次月考数学试卷(解析版) 题型:填空题

中间插入3个实数,使这5个数成等比数列,则

查看答案和解析>>

科目:高中数学 来源:2015-2016学年山东省新泰市高二上学期期中考试理科数学试卷(解析版) 题型:选择题

已知x,y满足,则使目标函数z=y﹣x取得最小值﹣4的最优解为( )

A.(2,﹣2) B.(﹣4,0) C.(4,0) D.(7,3)

查看答案和解析>>

科目:高中数学 来源:2015-2016学年河北省、永年二中高二上期中文科数学试卷(解析版) 题型:选择题

若某人在点A测得金字塔顶端仰角为30,此人往金字塔方向走了80米到达点B,测得金字塔顶端的仰角为45,则金字塔的高度最接近于(忽略人的身高)(参考数据)( )

A.110米 B.112米 C 220米 D.224米

查看答案和解析>>

科目:高中数学 来源:2015-2016学年湖南省、攸县一中高二上期中文科数学试卷(解析版) 题型:解答题

已知等差数列的前项和为,并且,数列满足:,记数列的前项和为

(Ⅰ)求数列的通项公式及前项和公式

(Ⅱ)求数列的通项公式及前项和公式

(Ⅲ)记集合,若的子集个数为16,求实数的取值范围。

查看答案和解析>>

科目:高中数学 来源:2016届重庆市高三12月月考理科数学试卷(解析版) 题型:解答题

设等差数列的前项和为

(1)求数列的通项公式;

(2)设数列的前项和为,求证:

查看答案和解析>>

同步练习册答案