精英家教网 > 高中数学 > 题目详情

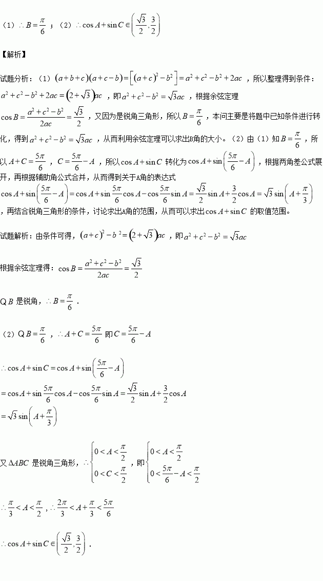
在锐角三角形中,分别是角的对边,

(1)求角

(2)求的取值范围.

练习册系列答案
相关习题

科目:高中数学 来源:2015-2016学年重庆八中高二暑期阶段测十数学(文)试卷(解析版) 题型:选择题

执行如图所示程序框图,则输出的结果是( )

A. B. C. D.

查看答案和解析>>

科目:高中数学 来源:2015-2016学年安徽宣城市高二下学期期末数学(理)试卷(解析版) 题型:选择题

是空间三条不同的直线, 是空间中不同的平面, 则下列命题不正确的是( )

A.若,则

B.若,则

C.当内的射影, 若,则

D.当时, 若,则

查看答案和解析>>

科目:高中数学 来源:2015-2016学年浙江湖州中学高一下学期期中数学试卷(解析版) 题型:填空题

设正实数满足,则的最大值为 的最小值为

查看答案和解析>>

科目:高中数学 来源:2015-2016学年浙江湖州中学高一下学期期中数学试卷(解析版) 题型:选择题

如图所示,表示满足不等式的点所在的区域为

查看答案和解析>>

科目:高中数学 来源:2015-2016学年四川广安邻水等区县高一下期末联考数学(理)试卷(解析版) 题型:填空题

表示不超过的最大整数,例如.已知数列满足,则_____________.

查看答案和解析>>

科目:高中数学 来源:2015-2016学年四川广安邻水等区县高一下期末联考数学(理)试卷(解析版) 题型:选择题

已知等比数列中,,则=( )

A.4 B.6 C.8 D.9

查看答案和解析>>

科目:高中数学 来源:2015-2016学年陕西延川县中学高一下学期期中数学(理)试卷(解析版) 题型:选择题

,则( )

A.1 B.-1 C. D.

查看答案和解析>>

科目:高中数学 来源:2016-2017学年河北武邑中学高一上周考9.4数学试卷(解析版) 题型:选择题

在同一直角坐标系中,如图中,表示直线正确的是( )

查看答案和解析>>

同步练习册答案