精英家教网 > 高中数学 > 题目详情

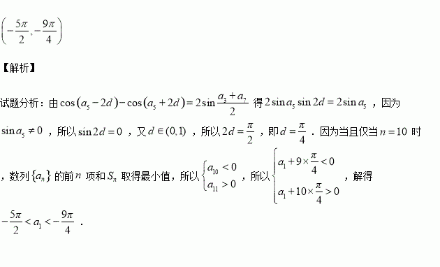
已知等差数列的公差,且 ,当且仅当时,数列的前项和取得最小值,则首项的取值范围是___________.

练习册系列答案
相关习题

科目:高中数学 来源:2016届安徽省高三下学期冲刺模拟理科数学A卷(解析版) 题型:填空题

已知抛物线上一点到焦点的距离为5,则的面积为__________.

查看答案和解析>>

科目:高中数学 来源:2016届安徽省高三下学期冲刺模拟理科数学C卷(解析版) 题型:解答题

设函数,其中为实数.

(1)若上是单调减函数,且上有最小值,求的取值范围;

(2)若上是单调减函数,试求的零点个数,并证明你的结论.

查看答案和解析>>

科目:高中数学 来源:2016届安徽省高三下学期冲刺模拟理科数学C卷(解析版) 题型:选择题

在平面直角坐标系中,不等式组为常数)表示的平面区域面积是,那么实数的值为( )

A. B. C. D.

查看答案和解析>>

科目:高中数学 来源:2016届重庆市高三下学期模拟文科数学试卷(解析版) 题型:解答题

已知函数.

(1)讨论的单调性;

(2)若对任意,有恒成立,求实数的取值范围.

查看答案和解析>>

科目:高中数学 来源:2016届重庆市高三下学期模拟文科数学试卷(解析版) 题型:选择题

已知是半径为1的球面上三个定点,且,高为的三棱锥的顶点位于同一球面上,则动点的轨迹所围成的平面区域的面积是( )

A. B. C. D.

查看答案和解析>>

科目:高中数学 来源:2016届重庆市高三下学期模拟文科数学试卷(解析版) 题型:选择题

已知直线与直线垂直,则成立的( )

A.充分不必要条件 B.必要不充分条件 C.充要条件 D.既非充分又非必要条件

查看答案和解析>>

科目:高中数学 来源:2015-2016学年宁夏六盘山高中高二下第二次月考文数学卷(解析版) 题型:选择题

不等式的解集为( )

A. B.

C. D.

查看答案和解析>>

科目:高中数学 来源:2015-2016学年辽宁省庄河市高一下期中文科数学试卷(解析版) 题型:选择题

平面向量的集合的映射,其中为常向量,若映射满足对任意的恒成立,则的坐标可能是( )

A. B.

C. D.

查看答案和解析>>

同步练习册答案