精英家教网 > 高中数学 > 题目详情

( )

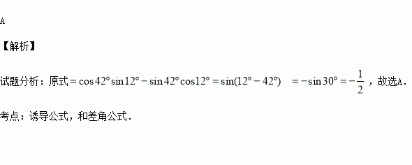
A . B. C. D.

练习册系列答案
相关习题

科目:高中数学 来源:2016届河北省高三上第二次月考文科数学试卷B(解析版) 题型:选择题

( )

A. B. C. D.

查看答案和解析>>

科目:高中数学 来源:2016届辽宁省五校协作体高三上学期期初考试文科数学试卷(解析版) 题型:解答题

(本小题满分12分)已知椭圆+=1()的离心率为,且过点().

(1)求椭圆方程;

(2)设不过原点的直线,与该椭圆交于两点,直线的斜率依次为,满足,试问:当变化时,是否为定值?若是,求出此定值,并证明你的结论;若不是,请说明理由.

查看答案和解析>>

科目:高中数学 来源:2015-2016学年安徽省高一上学期第一次调研考试数学试卷(解析版) 题型:解答题

(本小题满分12分)已知下列两种说法:

①方程有两个不同的负根;

②方程无实根。

(1)若①和②都成立,求实数的范围;

(2)若①和②中至少有一个成立,求实数的范围;

(3)若①和②中有且只有一个成立,求实数的范围;

查看答案和解析>>

科目:高中数学 来源:2016届河北省高三上第二次月考文科数学B卷(解析版) 题型:选择题

是虚数单位,则=( )

A.1 B. 0 C. D.

查看答案和解析>>

科目:高中数学 来源:2016届河北省高三上第二次月考理科数学B卷(解析版) 题型:选择题

已知,且,则的值是( )

A. B. C. D.

查看答案和解析>>

科目:高中数学 来源:2015-2016学年西藏日喀则一中高二10月月考理科数学卷(解析版) 题型:解答题

已知函数

(1)求曲线在点处的切线方程;

(2)如果曲线的某一切线与直线垂直,求切点坐标与切线的方程.

查看答案和解析>>

科目:高中数学 来源:2015-2016学年宁夏育才中学高二上期中考试理科数学试卷(解析版) 题型:填空题

数列{an}中的前n项和Sn=n2-2n+2,则通项公式an=__________.

查看答案和解析>>

科目:高中数学 来源:2015-2016学年广东省高二10月月考数学试卷(解析版) 题型:解答题

在△ABC中,A,B,C所对的边分别是

(1)用余弦定理证明:当C为钝角时,

(2)当钝角△ABC的三边是三个连续整数时,求△ABC外接圆的半径.

查看答案和解析>>

同步练习册答案