精英家教网 > 高中数学 > 题目详情
已知函数f(x)=mx2-2x+1+ln(x+1)(m≥1),
(1)求y=f(x)在点P(0,1)处的切线方程;
(2)设g(x)=f(x)+x-1仅有一个零点,求实数m的值;
(3)试探究函数f(x)是否存在单调递减区间?若有,设其单调区间为[t,s] ,试求s-t的取值范围?若没有,请说明理由。
解:(1)∵点P在函数y=f(x)上,
由f x)=得:
故切线方程为:y=-x+1;
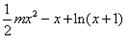
(2)由g(x)=f(x)+x-1=可知:定义域为(-1,+∞),
且g(0)=0,显然x=0为y=g(x)的一个零点;

①当m=1时,
即函数y=g(x)在(-1,+∞)上单调递增,g(0)=0,
故仅有一个零点,满足题意;
②当m>1时,则,列表分析:

∵x→-1时,g(x)→-∞,
∴g(x)在上有一根,这与y=g(x)仅有一根矛盾,故此种情况不符题意;
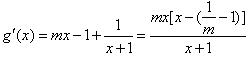
(3)假设y=f(x)存在单调区间,
由f(x)=得:


,h(-1)=m+2-m-1=1>0,
∴h(x)=0在(-1,+∞)上一定存在两个不同的实数根s,t,
的解集为(t,s),
即函数f(x)存在单调区间[t,s],
则s-t=
由m≥1可得:s-t
练习册系列答案
相关习题

科目:高中数学 来源: 题型:

已知函数f(x)=m•2x+t的图象经过点A(1,1)、B(2,3)及C(n,Sn),Sn为数列{an}的前n项和,n∈N*
(1)求Sn及an
(2)若数列{cn}满足cn=6nan-n,求数列{cn}的前n项和Tn

查看答案和解析>>

科目:高中数学 来源: 题型:

已知函数f(x)=m(x+
1
x
)的图象与h(x)=(x+
1
x
)+2的图象关于点A(0,1)对称.
(1)求m的值;
(2)若g(x)=f(x)+
a
4x
在(0,2]上是减函数,求实数a的取值范围.

查看答案和解析>>

科目:高中数学 来源: 题型:

已知函数f(x)=
m
n
,其中
m
=(sinωx+cosωx,
3
cosωx)
n
=(cosωx-sinωx,2sinωx),其中ω>0,若f(x)相邻两对称轴间的距离不小于
π
2

(Ⅰ)求ω的取值范围;
(Ⅱ)在△ABC中,a,b,c分别是角A,B,C的对边,a=
3
,b+c=3,当ω最大时,f(A)=1,求△ABC的面积.

查看答案和解析>>

科目:高中数学 来源: 题型:

以下两题任选一题:(若两题都作,按第一题评分)
(一):在极坐标系中,圆ρ=2cosθ的圆心到直线θ=
π
3
(ρ∈R)的距离
3
2
3
2

(二):已知函数f(x)=m-|x-2|,m∈R,当不等式f(x+2)≥0的解集为[-2,2]时,实数m的值为
2
2

查看答案和解析>>

科目:高中数学 来源: 题型:

已知函数f(x)=m-|x-2|,m∈R,且f(x+2)≥0的解集为[-1,1].
(1)求m的值;
(2)若a,b,c∈R+,且
1
a
+
1
2b
+
1
3c
=m,求Z=a+2b+3c的最小值.

查看答案和解析>>

同步练习册答案