精英家教网 > 高中数学 > 题目详情
已知函数f(x)=xex
(1)求f(x)的单调区间与极值;
(2)是否存在实数a,使得对于任意的x1,x2∈(a,+∞),且x1<x2,恒有成立?若存在,求a的范围;若不存在,说明理由。
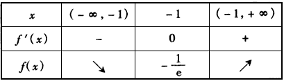
解:(1)由f'(x)=ex(x+1)=0,得x=-1
当x变化时,f'(x),f(x)的变化情况如下表:
 
可知f(x)的单调递减区间为(-∞,-1),递增区间为(-1,+∞),
f(x)有极小值为,但没有极大值。
(2)令
(*)成立,
即g(x)在(a,+∞)内单调递增,
这只需g'(x)>0
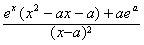
而g'(x)=
记h(x)=ex(x2-ax-a)+aea
则h'(x)=ex[x2+(2-a)x-2a] =ex(x+2)(x-a)
故当a≥-2,且x>a时,h'(x)>0,h(x)在[a,+∞)上单调递增
故h(x)>h(a)=0,从而g'(x)>0,不等式(*)恒成立
另一方面,当a<-2,且a<x<-2时,h'(x)<0,h(x)在[a,-2]上单调递减,
又h(a)=0,所以h(x)<0,即g'(x)<0,g(x)在(a,-2)上单调递减
从而存在x1,x2,a<x1<x2<-2,使得g(x2)<g(x1
可知,不等式(*)不成立
因此a的取值范围是[-2,+∞)。
练习册系列答案
相关习题

科目:高中数学 来源: 题型:

精英家教网已知函数f(x)=Asin(ωx+φ)(x∈R,A>0,ω>0,|φ|<
π
2
)的部分图象如图所示,则f(x)的解析式是(  )
A、f(x)=2sin(πx+
π
6
)(x∈R)
B、f(x)=2sin(2πx+
π
6
)(x∈R)
C、f(x)=2sin(πx+
π
3
)(x∈R)
D、f(x)=2sin(2πx+
π
3
)(x∈R)

查看答案和解析>>

科目:高中数学 来源: 题型:

(2012•深圳一模)已知函数f(x)=
1
3
x3+bx2+cx+d
,设曲线y=f(x)在与x轴交点处的切线为y=4x-12,f′(x)为f(x)的导函数,且满足f′(2-x)=f′(x).
(1)求f(x);
(2)设g(x)=x
f′(x)
 , m>0
,求函数g(x)在[0,m]上的最大值;
(3)设h(x)=lnf′(x),若对一切x∈[0,1],不等式h(x+1-t)<h(2x+2)恒成立,求实数t的取值范围.

查看答案和解析>>

科目:高中数学 来源: 题型:

(2011•上海模拟)已知函数f(x)=(
x
a
-1)2+(
b
x
-1)2,x∈(0,+∞)
,其中0<a<b.
(1)当a=1,b=2时,求f(x)的最小值;
(2)若f(a)≥2m-1对任意0<a<b恒成立,求实数m的取值范围;
(3)设k、c>0,当a=k2,b=(k+c)2时,记f(x)=f1(x);当a=(k+c)2,b=(k+2c)2时,记f(x)=f2(x).
求证:f1(x)+f2(x)>
4c2
k(k+c)

查看答案和解析>>

科目:高中数学 来源:上海模拟 题型:解答题

已知函数f(x)=(
x
a
-1)2+(
b
x
-1)2,x∈(0,+∞)
,其中0<a<b.
(1)当a=1,b=2时,求f(x)的最小值;
(2)若f(a)≥2m-1对任意0<a<b恒成立,求实数m的取值范围;
(3)设k、c>0,当a=k2,b=(k+c)2时,记f(x)=f1(x);当a=(k+c)2,b=(k+2c)2时,记f(x)=f2(x).
求证:f1(x)+f2(x)>
4c2
k(k+c)

查看答案和解析>>

科目:高中数学 来源:深圳一模 题型:解答题

已知函数f(x)=
1
3
x3+bx2+cx+d
,设曲线y=f(x)在与x轴交点处的切线为y=4x-12,f′(x)为f(x)的导函数,且满足f′(2-x)=f′(x).
(1)求f(x);
(2)设g(x)=x
f′(x)
 , m>0
,求函数g(x)在[0,m]上的最大值;
(3)设h(x)=lnf′(x),若对一切x∈[0,1],不等式h(x+1-t)<h(2x+2)恒成立,求实数t的取值范围.

查看答案和解析>>

同步练习册答案