精英家教网 > 高中数学 > 题目详情

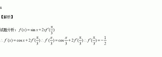
已知函数,则( )

A. B. 0 C. D.

练习册系列答案
相关习题

科目:高中数学 来源:2015-2016学年广东省高二下第一次月考文科数学试卷(解析版) 题型:选择题

已知函数f(x)=sin(ωx+φ)(其中ω>0,|φ|<图象相邻对称轴的距离为,一个对称轴中心为(﹣,0),为了得到g(x)=cosωx的图象,则只要将f(x)的图象( )

A.向右平移个单位 B.向右平移个单位

C.向左平移个单位 D.向左平移个单位

查看答案和解析>>

科目:高中数学 来源:2015-2016学年福建省四地六校高二下学期第一次联考文科数学试卷(解析版) 题型:选择题

已知关于的方程有实根,则实数满足( )

A. B. C. D.

查看答案和解析>>

科目:高中数学 来源:2015-2016学年福建省四地六校高二下学期第一次联考理科数学试卷(解析版) 题型:填空题

已知,若在区间上任取三个数,均存在以为边长的三角形,则实数的取值范围为

查看答案和解析>>

科目:高中数学 来源:2015-2016学年福建省四地六校高二下学期第一次联考理科数学试卷(解析版) 题型:选择题

若函数上不是单调函数,则实数k的取值范围( )

A.

B.

C.

D.不存在这样的实数k

查看答案和解析>>

科目:高中数学 来源:2015-2016学年福建省高二下期初考试文科数学试卷(解析版) 题型:解答题

已知点A(1,)是离心率为的椭圆C:(a>b>0)上的一点,斜率为的直线BD交椭圆C于B、D两点,且A、B、D三点不重合.

(Ⅰ)求椭圆C的方程;

(Ⅱ)△ABD的面积是否存在最大值?若存在,求出这个最大值;若不存在,请说明理由?

查看答案和解析>>

科目:高中数学 来源:2015-2016学年福建省高二下期初考试文科数学试卷(解析版) 题型:填空题

下列关于圆锥曲线的命题:其中真命题的序号___________.(写出所有真命题的序号)。

①设为两个定点,若,则动点的轨迹为双曲线;

②设为两个定点,若动点满足,且,则的最大值为8;

③方程的两根可分别作椭圆和双曲线的离心率;

④双曲线与椭圆有相同的焦点

查看答案和解析>>

科目:高中数学 来源:2015-2016学年福建省高二下期初考试理科数学试卷(解析版) 题型:解答题

已知函数

(Ⅰ)求函数的图象在点处的切线的方程;

(Ⅱ)求函数区间上的最值.

查看答案和解析>>

科目:高中数学 来源:2015-2016学年福建省四地六校高一下学期第一次联考数学试卷(解析版) 题型:解答题

如图,四凌锥中,底面为平行四边形,,的中点.

(1)证明:∥平面

(2)若底面为矩形,三棱椎的体积,求二面角的正切值.

查看答案和解析>>

同步练习册答案