精英家教网 > 高中数学 > 题目详情

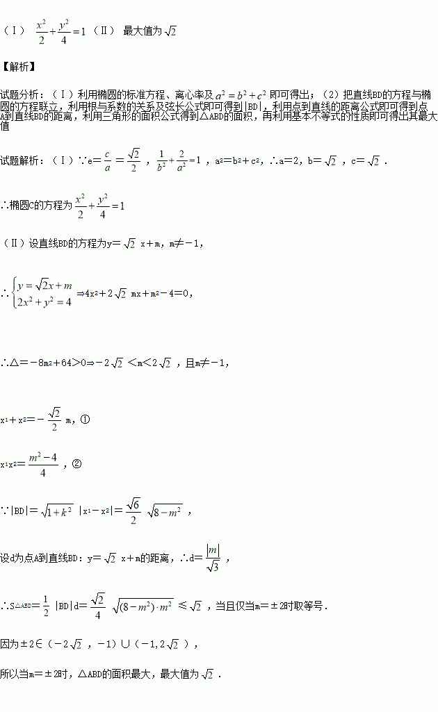
已知点A(1,)是离心率为的椭圆C:(a>b>0)上的一点,斜率为的直线BD交椭圆C于B、D两点,且A、B、D三点不重合.

(Ⅰ)求椭圆C的方程;

(Ⅱ)△ABD的面积是否存在最大值?若存在,求出这个最大值;若不存在,请说明理由?

练习册系列答案
相关习题

科目:高中数学 来源:2015-2016学年广东省高二下第一次月考文科数学试卷(解析版) 题型:选择题

已知向量,向量,则( )

A. B. C. 1 D. 2

查看答案和解析>>

科目:高中数学 来源:2015-2016学年福建省四地六校高二下学期第一次联考文科数学试卷(解析版) 题型:选择题

下面几种推理过程是演绎推理的是( )

A.两条直线平行,同旁内角互补,如果是两条平行直线的同旁内角,则

B.由平面三角形的性质,推测空间四面体的性质

C.三角形内角和是,四边形内角和是,五边形内角和是,由此得凸多边形内角和是

D.在数列中,,由此归纳出的通项公式

查看答案和解析>>

科目:高中数学 来源:2015-2016学年福建省四地六校高二下学期第一次联考理科数学试卷(解析版) 题型:选择题

已知函数,则方程恰有两个不同的实根时,实数的取值范围是( )(注:为自然对数的底数)

A. B. C. D.

查看答案和解析>>

科目:高中数学 来源:2015-2016学年福建省四地六校高二下学期第一次联考理科数学试卷(解析版) 题型:选择题

已知函数,则( )

A. B. 0 C. D.

查看答案和解析>>

科目:高中数学 来源:2015-2016学年福建省高二下期初考试文科数学试卷(解析版) 题型:填空题

如图,F1、F2是双曲线的左、右焦点,过F1的直线与双曲线的左右两支分别交于点A、B.若为等边三角形,则双曲线的离心率为

查看答案和解析>>

科目:高中数学 来源:2015-2016学年福建省高二下期初考试文科数学试卷(解析版) 题型:选择题

直线与圆相交于P、Q两点。若| PQ |,则的取值范围是( )

A. B. C. D.

查看答案和解析>>

科目:高中数学 来源:2015-2016学年福建省高二下期初考试理科数学试卷(解析版) 题型:填空题

双曲线的虚轴长是实轴长的2倍,则

查看答案和解析>>

科目:高中数学 来源:2015-2016学年福建省四地六校高一下学期第一次联考数学试卷(解析版) 题型:填空题

将正方形沿对角线折成直二面角,有如下四个结论:

; ②是等边三角形;

所成的角是60°; ④所成的角是60°.

其中正确结论的序号是________.

查看答案和解析>>

同步练习册答案