精英家教网 > 高中数学 > 题目详情
已知等比数列的公比为2,且前四项之和等于1,那么前八项之和等于( )
A.15
B.21
C.19
D.17
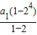
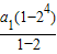
【答案】分析:由题意可得  =1,求得 a1 的值,代入前八项之和公式可得 =(28-1).
解答:解:由题意可得  =1,∴a1=
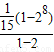
故 前八项之和等于  =(28-1)=17,
故选 D.
点评:本题考查等比数列的性质,等比数列的前n项和公式,求出 a1 的值,是解题的关键.
练习册系列答案
相关习题

科目:高中数学 来源: 题型:

已知等比数列的公比为2,且前四项之和等于1,那么前八项之和等于(  )
A、15B、21C、19D、17

查看答案和解析>>

科目:高中数学 来源: 题型:

已知等比数列的公比为2,且前四项之和等于1,那么前八项之和等于
 

查看答案和解析>>

科目:高中数学 来源: 题型:

已知等比数列的公比为2,且前三项之和等于1,那么前六项之和等于
9
9

查看答案和解析>>

科目:高中数学 来源: 题型:

已知等比数列的公比为2,且前5项和为1,那么前10项和等于(  )

查看答案和解析>>

科目:高中数学 来源: 题型:

已知等比数列的公比为正数,且·=2=1,则=

A.     B.    C.     D.2

查看答案和解析>>

同步练习册答案