精英家教网 > 高中数学 > 题目详情

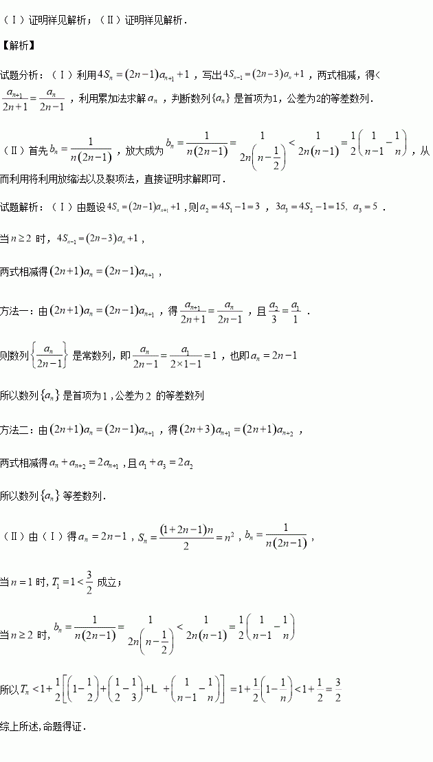
已知数列的前项和为,若),且

(Ⅰ)求证:数列为等差数列;

(Ⅱ)设,数列的前项和为,证明:).

练习册系列答案
相关习题

科目:高中数学 来源:2016届陕西省商洛市高三上第二次模拟理科数学试卷(解析版) 题型:填空题

(2015秋•商洛月考)等差数列{an}的前n项和为Sn,若a2+a7+a12=15,则S13的值是( )

A.45 B.65 C.80 D.130

查看答案和解析>>

科目:高中数学 来源:2016届重庆市高三上学期一诊模拟理科数学试卷(解析版) 题型:选择题

满足约束条件,若目标函数的最大值为12,则的最小值为( )

A. B. C. D.4

查看答案和解析>>

科目:高中数学 来源:2015-2016学年陕西西藏民族学院附中高一上期末数学试卷(解析版) 题型:选择题

设集合,则等于( )

A. B.

C.{0} D.

查看答案和解析>>

科目:高中数学 来源:2015-2016学年四川省高二上期中文科数学试卷(解析版) 题型:填空题

如图,正方体的棱长为1,线段上有两个动点,且,则下列结论中正确的有 .(填写你认为正确的序号)

③若上的一动点,则三棱锥的体积为定值;

④在空间与直线都相交的直线只有1条。

查看答案和解析>>

科目:高中数学 来源:2016届黑龙江省高三12月考文科数学试卷(解析版) 题型:解答题

选修4-5:不等式选讲

设函数

(Ⅰ)解不等式

(Ⅱ)若对一切实数均成立,求实数的取值范围.

查看答案和解析>>

科目:高中数学 来源:2016届云南省玉溪市高三第四次月考文科数学试卷(解析版) 题型:解答题

已知函数为自然对数的底数,).

(1)判断曲线在点处的切线与曲线的公共点个数;

(2)当时,若函数有两个零点,求a的取值范围.

查看答案和解析>>

科目:高中数学 来源:2015-2016学年云南省高一上10月月考数学试卷(解析版) 题型:解答题

(2013秋•监利县期末)已知M={1,2,a2﹣3a﹣1 },N={﹣1,a,3},M∩N={3},求实数a的值.

查看答案和解析>>

科目:高中数学 来源:2015-2016学年吉林省高二上11月月考文科数学试卷(解析版) 题型:选择题

(2015秋•吉林校级月考)在各项为正数的等比数列{an}中,a1=3,前三项的和S3=21,则a3+a4+a5的值为( )

A.33 B.72 C.84 D.189

查看答案和解析>>

同步练习册答案