精英家教网 > 高中数学 > 题目详情

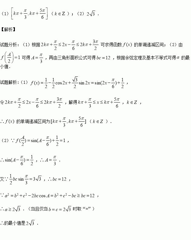
(1)求函数的单调递减区间;

(2)在中,角的对边分别为,若的面积为,求的最小值.

练习册系列答案
相关习题

科目:高中数学 来源: 题型:填空题

14.已知A(-2,3),B(4,5)两点,若动点P满足|PA|=|PB|,则动点P的轨迹方程为3x+y-7=0.

查看答案和解析>>

科目:高中数学 来源: 题型:填空题

15.化简:cos4α+sin2α•cos2α+sin2α=1.

查看答案和解析>>

科目:高中数学 来源: 题型:选择题

12.若抛物线y=ax2的焦点在直线3x-4y-12=0上,则a等于(  )
A.-12B.-$\frac{1}{12}$C.-$\frac{1}{6}$D.$\frac{1}{16}$

查看答案和解析>>

科目:高中数学 来源: 题型:填空题

19.已知△ABC中,∠A=120°,AB=3,BC=7,则AC=5.

查看答案和解析>>

科目:高中数学 来源:2017届湖南衡阳八中高三上学期月考二数学(文)试卷(解析版) 题型:填空题

幂函数在区间上是增函数,则

查看答案和解析>>

科目:高中数学 来源:2017届湖南衡阳八中高三上学期月考二数学(文)试卷(解析版) 题型:选择题

函数的图象大致为( )

A. B.

C. D.

查看答案和解析>>

科目:高中数学 来源:2017届湖南衡阳八中高三上学期月考二数学(理)试卷(解析版) 题型:填空题

已知集合=

查看答案和解析>>

科目:高中数学 来源: 题型:填空题

11.如图,三棱锥P-ABC的底面是边长为2的等边三角形,若$PA=PB=\sqrt{2}$,二面角P-BA-C的大小为60°,则三棱锥P-ABC的外接球的面积等于$\frac{52}{9}π$.

查看答案和解析>>

同步练习册答案