精英家教网 > 高中数学 > 题目详情
已知数列{an}的前n项和Sn满足:Sn=2an+(-1)n,n≥1。
 (1)写出求数列{an}的前3项a1,a2,a3
 (2)求数列{an}的通项公式;
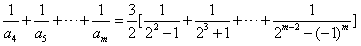
 (3)证明:对任意的整数m>4,有
解:(1)当n=1时,有:S1=a1=2a1+(-1)a1=1;
当n=2时,有:S2=a1+a2=2a2+(-1)2a2=0;
当n=3时,有:S3=a1+a2+a3=2a3+(-1)3 a3=2;
综上可知a1=1,a2=0,a3=2。
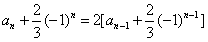
(2)由已知得:
化简得:
可化为:
故数列{}是以为首项, 公比为2的等比数列

 
∴ 数列{}的通项公式为:
(3)由已知得:







(m>4)。
练习册系列答案
相关习题

科目:高中数学 来源: 题型:

19、已知数列{an}的前n项和Sn=n2(n∈N*),数列{bn}为等比数列,且满足b1=a1,2b3=b4
(1)求数列{an},{bn}的通项公式;
(2)求数列{anbn}的前n项和.

查看答案和解析>>

科目:高中数学 来源: 题型:

已知数列{an}的前n项和Sn=an2+bn(a、b∈R),且S25=100,则a12+a14等于(  )
A、16B、8C、4D、不确定

查看答案和解析>>

科目:高中数学 来源: 题型:

已知数列{an}的前n项和Sn=n2+n+1,那么它的通项公式为an=
 

查看答案和解析>>

科目:高中数学 来源: 题型:

13、已知数列{an}的前n项和为Sn=3n+a,若{an}为等比数列,则实数a的值为
-1

查看答案和解析>>

科目:高中数学 来源: 题型:

已知数列{an}的前n项和Sn满足Sn+1=kSn+2,又a1=2,a2=1.
(1)求k的值及通项公式an
(2)求Sn

查看答案和解析>>

同步练习册答案