精英家教网 > 高中数学 > 题目详情

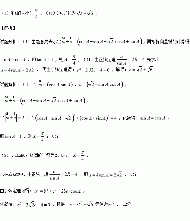
(本小题12分)在△ABC中,A,B,C所对的边分别为a,b,c,向量,向量.若

(1)求角A的大小;

(2)若△ABC外接圆的半径为2,b=2,求边c的长.

练习册系列答案
相关习题

科目:高中数学 来源:2014-2015学年贵州省高二上学期期中文科数学试卷(解析版) 题型:选择题

双曲线的渐近线方程是( )。

A. B.

C. D.

查看答案和解析>>

科目:高中数学 来源:2015-2016学年山西康杰中学高一上学期期中考试数学试卷(解析版) 题型:选择题

已知集合,则=

A. B. C. D.

查看答案和解析>>

科目:高中数学 来源:2015-2016学年湖北宜昌一中高二上学期期中理科数学试卷(解析版) 题型:解答题

(本题满分12分)如下图所示:在直三棱柱ABC—A1B1C1中,AC=3,BC=4,AB=5,AA1=4,点D是AB的中点.

(Ⅰ)求证:AC⊥BC1;

(Ⅱ)求证:AC1∥平面CDB1;

查看答案和解析>>

科目:高中数学 来源:2015-2016学年河北衡水冀州中学高二上期中文科数学B卷(解析版) 题型:填空题

递减等差数列的前n项和满足:,欲使最大,则=

查看答案和解析>>

科目:高中数学 来源:2015-2016学年广西桂林中学高二上期中考试理科数学试卷(解析版) 题型:解答题

(本小题满分12分)在中,内角的对边分别为,且=

(1)求角的大小;

(2)若,求的面积的最大值.

查看答案和解析>>

科目:高中数学 来源:2016届四川省巴中市普通高中高三10月零诊考试文科数学试卷(解析版) 题型:填空题

已知,则t=

查看答案和解析>>

科目:高中数学 来源:2014-2015学年陕西省西安市高三上学期期中考试理科数学试卷(解析版) 题型:填空题

,则的范围是____________.

查看答案和解析>>

科目:高中数学 来源:2015-2016学年湖北荆州中学高二上学期期中文科数学试卷(解析版) 题型:解答题

(本小题满分12分)在2015年全运会上两名射击运动员甲、乙在比赛中打出如下成绩:

甲:9.4,8.7,7.5,8.4,10.1,10.5,10.7,7.2,7.8,10.8;

乙:9.1,8.7,7.1,9.8,9.7,8.5,10.1,9.2,10.1,9.1;

(1)用茎叶图表示甲、乙两人的成绩;并根据茎叶图估计他们的中位数;

(2)已知甲、乙两人成绩的方差分别为,分别计算两个样本的平均数和标准差,并根据计算结果估计哪位运动员的成绩比较好,哪位运动员的成绩比较稳定.

查看答案和解析>>

同步练习册答案