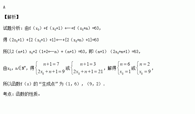
精英家教网 > 高中数学 > 题目详情

已知函数,若,使

成立,则称为函数的一个“生成点”.函数的“生成点”共有( )

A.个 B .个 C .个 D .

练习册系列答案
相关习题

科目:高中数学 来源:2014-2015学年山东省枣庄市高二上学期期末考试理科数学试卷(解析版) 题型:填空题

已知函数的自变量取值区间为,若其值域也为,则称区间的保值区间.若函数的保值区间是,则的值为 .

查看答案和解析>>

科目:高中数学 来源:2014-2015学年吉林省高二下学期第一次月考理科数学试卷(解析版) 题型:解答题

已知的展开式的各项系数之和等于展开式中的常数项,求展开式中含的项的二项式系数.

查看答案和解析>>

科目:高中数学 来源:2014-2015学年吉林省高二下学期第一次月考理科数学试卷(解析版) 题型:选择题

5位同学报名参加两个课外活动小组,每位同学限报其中的一个小组,则不同的报名方法共有( )

A.10种 B.20种 C.25种 D.32种

查看答案和解析>>

科目:高中数学 来源:2014-2015学年湖南浏阳一中高二下学期第一次阶段测试文科数学试卷(解析版) 题型:解答题

已知等差数列的前项和满足

(1)求的通项公式;

(2)求数列的前项和.

查看答案和解析>>

科目:高中数学 来源:2014-2015学年湖南浏阳一中高二下学期第一次阶段测试文科数学试卷(解析版) 题型:选择题

设变量满足约束条件,则的取值范围是 ( )

A. B. C. D.

查看答案和解析>>

科目:高中数学 来源:2014-2015学年河南省高二上学期期中考试文科数学试卷(解析版) 题型:解答题

已知数列中,

(1)求证:是等比数列,并求的通项公式

(2)数列满足,数列的前n项和为

若不等式对一切恒成立,求的取值范围.

查看答案和解析>>

科目:高中数学 来源:2014-2015学年河南省高二上学期期中考试文科数学试卷(解析版) 题型:选择题

原点和点在直线的两侧,则的取值范围是( )

A. B. C. D.

查看答案和解析>>

科目:高中数学 来源:2014-2015学年海南省高二上学期期末考试理科数学试卷(解析版) 题型:选择题

如图,在棱长为2的正方体中,O是底面ABCD的中心,E、F分别是、AD的中点,那么异面直线OE和所成的角的余弦值等于( )

A. B.

C. D.

查看答案和解析>>

同步练习册答案