精英家教网 > 高中数学 > 题目详情

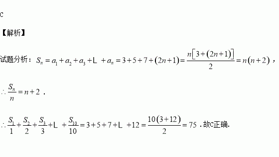
数列的通项公式为,其前项和是,那么数列的前项和是( )

A. B. C. D.

练习册系列答案
相关习题

科目:高中数学 来源:2016届西藏日喀则一中高三10月检测理科数学试卷(解析版) 题型:选择题

已知集合,则( )

A. B. C. D.

查看答案和解析>>

科目:高中数学 来源:2015-2016学年河北衡水冀州中学高二上期中文科数学B卷(解析版) 题型:选择题

某学校有教职工400名,从中选出40名教职工组成教工代表大会,每位教职工当选的概率是,其中正确的是( )

A.10个教职工中,必有1人当选

B.每位教职工当选的可能性是

C.数学教研组共有50人,该组当选教工代表的人数一定是5

D.以上说法都不正确

查看答案和解析>>

科目:高中数学 来源:2016届四川省巴中市普通高中高三10月零诊考试文科数学试卷(解析版) 题型:选择题

设函数,在[-2,2]上的最大值为2,则实数a的取值范围是( )

查看答案和解析>>

科目:高中数学 来源:2016届四川省巴中市普通高中高三10月零诊考试理科数学试卷(解析版) 题型:选择题

设x,y满足约束条件,则z=3x+y的最大值为m,最小值为n,则m+n=( )

A.14 B.10 C.12 D.2

查看答案和解析>>

科目:高中数学 来源:2014-2015学年陕西省西安市高三上学期期中考试理科数学试卷(解析版) 题型:选择题

函数,关于的方程有5个不等的实数根的充分必要条件是( )

A. B. C. D.

查看答案和解析>>

科目:高中数学 来源:2015-2016学年四川省高二10月月考数学试卷(解析版) 题型:解答题

(12分)设二次函数f(x)=ax2+bx+c(a>0),方程f(x)﹣x=0的两个根x1,x2满足:0<x1<x2<

(1)当x∈(0, x1)时,证明x<f(x)<x1;

(2)设函数f(x)的图象关于直线x=x0对称,证明x0<

查看答案和解析>>

科目:高中数学 来源:2015-2016学年湖北武汉二中高二上学期期中理科数学试卷(解析版) 题型:解答题

(本小题满分12分)如图,已知长方形中,的中点.

沿折起,使得平面平面的中点.

(1)求证:

(2)求直线与平面ADM所成角的正弦值.

查看答案和解析>>

科目:高中数学 来源:2014-2015学年海南省高三下学期大测三文科数学试卷(解析版) 题型:填空题

已知,正实数满足,且b,若在区间上的最

大值为3,则a+b=

查看答案和解析>>

同步练习册答案