精英家教网 > 高中数学 > 题目详情

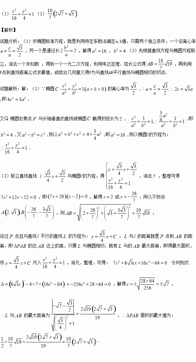
椭圆的离心率为,且过其右焦点与长轴垂直的直线被椭圆截得的弦长为.

(1)求椭圆的方程;

(2)设点是椭圆的一个动点, 直线与椭圆交于两点, 求面积的最大值.

练习册系列答案
相关习题

科目:高中数学 来源:2015-2016学年广东省高一下第一次月考文科数学试卷(解析版) 题型:解答题

如图的茎叶图记录了甲、乙两代表队各10名同学在一次英语听力比赛中的成绩(单位:分),已知甲代表队数据的中位数为76,乙代表队数据的平均数是75.

(1)求x,y的值;

(2)判断甲、乙两队谁的成绩更稳定,并说明理由(方差较小者稳定).

查看答案和解析>>

科目:高中数学 来源:2016届湖南师大附中高三下学期高考模拟三文科数学试卷(解析版) 题型:选择题

若复数对应的点在直线上,则实数的值为( )

A.0 B.1 C.-1 D.3

查看答案和解析>>

科目:高中数学 来源:2016届辽宁省锦州市高三下学期质量检测二文科数学试卷(解析版) 题型:选择题

已知函数,则函数的大致图象为( )

A. B.

C. D.

查看答案和解析>>

科目:高中数学 来源:2016届辽宁省锦州市高三下学期质量检测二文科数学试卷(解析版) 题型:选择题

已知集合,则( )

A. B.

C. D.

查看答案和解析>>

科目:高中数学 来源:2016届辽宁省锦州市高三下学期质量检测二理科数学试卷(解析版) 题型:填空题

已知向量的夹角为,且,若,且,则实数

查看答案和解析>>

科目:高中数学 来源:2016届辽宁省锦州市高三下学期质量检测二理科数学试卷(解析版) 题型:选择题

已知,则二项式的展开式中的系数为( )

A. B. C. D.

查看答案和解析>>

科目:高中数学 来源:2016届河南省洛阳市高三考前综合练习五文科数学试卷(解析版) 题型:填空题

变量满足约束条件,若的最大值为2,则实数等于____________.

查看答案和解析>>

科目:高中数学 来源:2016届海南省高三考前模拟理科数学试卷(解析版) 题型:解答题

选修4-1:几何证明选讲

中,,点上,且

求证:(I)

(II)

查看答案和解析>>

同步练习册答案