精英家教网 > 高中数学 > 题目详情

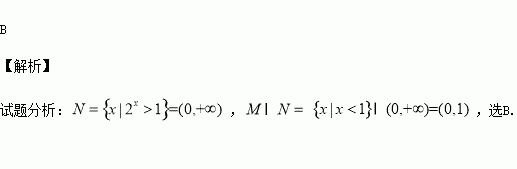
已知集合,则( )

A. B.

C. D.

练习册系列答案
相关习题

科目:高中数学 来源:2015-2016学年河南省高一下期中数学试卷(解析版) 题型:选择题

已知集合=( )

A. B. C. D.

查看答案和解析>>

科目:高中数学 来源:2016届湖南师大附中高三下学期高考模拟三文科数学试卷(解析版) 题型:选择题

如图是双曲线与椭圆的公共焦点,点在第一象限的公共点,若,则的离心率是( )

A. B. C. D.

查看答案和解析>>

科目:高中数学 来源:2016届辽宁省锦州市高三下学期质量检测二文科数学试卷(解析版) 题型:填空题

已知函数,则

查看答案和解析>>

科目:高中数学 来源:2016届辽宁省锦州市高三下学期质量检测二文科数学试卷(解析版) 题型:选择题

已知变量满足约束条件,则的最大值为 ( )

A. B. C. D.

查看答案和解析>>

科目:高中数学 来源:2016届辽宁省锦州市高三下学期质量检测二理科数学试卷(解析版) 题型:解答题

椭圆的离心率为,且过其右焦点与长轴垂直的直线被椭圆截得的弦长为.

(1)求椭圆的方程;

(2)设点是椭圆的一个动点, 直线与椭圆交于两点, 求面积的最大值.

查看答案和解析>>

科目:高中数学 来源:2016届辽宁省锦州市高三下学期质量检测二理科数学试卷(解析版) 题型:填空题

已知函数,则

查看答案和解析>>

科目:高中数学 来源:2016届河南省洛阳市高三考前综合练习五文科数学试卷(解析版) 题型:解答题

已知圆的方程为,定直线的方程为.动圆与圆外切,且与直线相切.

(1)求动圆圆心的轨迹的方程;

(2)直线与轨迹相切于第一象限的点,过点作直线的垂线恰好经过点,并交轨迹于异于点的点,记为坐标原点)的面积,求的值.

查看答案和解析>>

科目:高中数学 来源:2016届河南省洛阳市高三考前综合练习五理科数学试卷(解析版) 题型:选择题

平面向量的夹角为60°,,则等于( )

A. B.4 C.12 D.16

查看答案和解析>>

同步练习册答案