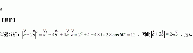
精英家教网 > 高中数学 > 题目详情

平面向量的夹角为60°,,则等于( )

A. B.4 C.12 D.16

练习册系列答案
相关习题

科目:高中数学 来源:2016届辽宁省锦州市高三下学期质量检测二文科数学试卷(解析版) 题型:选择题

已知集合,则( )

A. B.

C. D.

查看答案和解析>>

科目:高中数学 来源:2016届河南省洛阳市高三考前综合练习五文科数学试卷(解析版) 题型:选择题

已知等差数列的前项和为,则使取得最小值时的值为( )

A.7 B.7或8 C. D.8

查看答案和解析>>

科目:高中数学 来源:2016届河南省洛阳市高三考前综合练习五理科数学试卷(解析版) 题型:填空题

已知实数满足条件,若不等式恒成立,则实数的最大值是____________.

查看答案和解析>>

科目:高中数学 来源:2016届河南省洛阳市高三考前综合练习五理科数学试卷(解析版) 题型:选择题

已知函数满足,在区间上的最大值为,则为( )

A. B. C. D.

查看答案和解析>>

科目:高中数学 来源:2016届海南省高三考前模拟理科数学试卷(解析版) 题型:解答题

选修4-1:几何证明选讲

中,,点上,且

求证:(I)

(II)

查看答案和解析>>

科目:高中数学 来源:2016届海南省高三考前模拟理科数学试卷(解析版) 题型:填空题

如图,半球内有一内接正四棱锥,该四棱锥的体积为,则该半球的表面积为

查看答案和解析>>

科目:高中数学 来源:2016届海南师范大学附属中学高三临考模拟数学试卷(解析版) 题型:解答题

选修4-1:几何证明选讲

如图,直线经过⊙上一点,⊙的半径为是等腰三角形,且中点,⊙ 交直线.

(Ⅰ)证明:直线与⊙相切;

(Ⅱ)若的正切值为,求的长.

查看答案和解析>>

科目:高中数学 来源:2016届福建省高三下学期周考六理科数学试卷(解析版) 题型:选择题

已知是双曲线上的一点,上的两个焦点,若,则 的取值范围是( )

A. B. C. D.

查看答案和解析>>

同步练习册答案