精英家教网 > 高中数学 > 题目详情

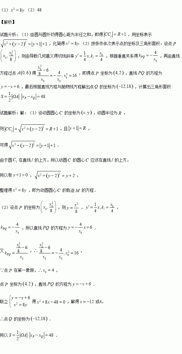
已知圆的方程为,定直线的方程为.动圆与圆外切,且与直线相切.

(1)求动圆圆心的轨迹的方程;

(2)直线与轨迹相切于第一象限的点,过点作直线的垂线恰好经过点,并交轨迹于异于点的点,记为坐标原点)的面积,求的值.

练习册系列答案
相关习题

科目:高中数学 来源:2016届湖南师大附中高三下学期高考模拟三文科数学试卷(解析版) 题型:解答题

已知向量,设函数

(1)若,求的单调递增区间;

(2)在中,角所对的边分别为,且,求的面积的最大值.

查看答案和解析>>

科目:高中数学 来源:2016届辽宁省锦州市高三下学期质量检测二文科数学试卷(解析版) 题型:选择题

已知集合,则( )

A. B.

C. D.

查看答案和解析>>

科目:高中数学 来源:2016届辽宁省锦州市高三下学期质量检测二理科数学试卷(解析版) 题型:选择题

已知,则二项式的展开式中的系数为( )

A. B. C. D.

查看答案和解析>>

科目:高中数学 来源:2016届辽宁省锦州市高三下学期质量检测二理科数学试卷(解析版) 题型:选择题

已知集合是实数集), ,则 ( )

A. B. C. D.

查看答案和解析>>

科目:高中数学 来源:2016届河南省洛阳市高三考前综合练习五文科数学试卷(解析版) 题型:填空题

变量满足约束条件,若的最大值为2,则实数等于____________.

查看答案和解析>>

科目:高中数学 来源:2016届河南省洛阳市高三考前综合练习五文科数学试卷(解析版) 题型:选择题

已知等差数列的前项和为,则使取得最小值时的值为( )

A.7 B.7或8 C. D.8

查看答案和解析>>

科目:高中数学 来源:2016届河南省洛阳市高三考前综合练习五理科数学试卷(解析版) 题型:填空题

已知实数满足条件,若不等式恒成立,则实数的最大值是____________.

查看答案和解析>>

科目:高中数学 来源:2016届海南师范大学附属中学高三临考模拟数学试卷(解析版) 题型:解答题

选修4-1:几何证明选讲

如图,直线经过⊙上一点,⊙的半径为是等腰三角形,且中点,⊙ 交直线.

(Ⅰ)证明:直线与⊙相切;

(Ⅱ)若的正切值为,求的长.

查看答案和解析>>

同步练习册答案