精英家教网 > 高中数学 > 题目详情

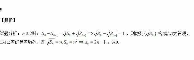
已知数列项和满足,则( )

B、 C、 D、

练习册系列答案
相关习题

科目:高中数学 来源:2016届黑龙江省哈尔滨市高三12月月考文科数学试卷(解析版) 题型:选择题

下列四种说法中,正确的个数有( )

①命题“均有”的否定是:“使得”;

②“命题为真”是“命题为真”的必要不充分条件;

,使是幂函数,且在上是单调递增;

④不过原点(0,0)的直线方程都可以表示成

A.3个 B.2个 C.1个 D.0个

查看答案和解析>>

科目:高中数学 来源:2015-2016学年江苏省无锡市四校高一上学期期中考试数学试卷(解析版) 题型:填空题

函数若关于的方程有4个不同的实数根,则实数b的取值范围是

查看答案和解析>>

科目:高中数学 来源:2015-2016年湖北武汉华中师大一附高二上期中文科数学卷(解析版) 题型:解答题

已知平面区域被圆C及其内部所覆盖.

(Ⅰ)当圆C的面积最小时,求圆C的方程;

(Ⅱ)若斜率为1的直线l与(1)中的圆C交于不同的两点A、B,且满足CA⊥CB,求直线l的方程.

查看答案和解析>>

科目:高中数学 来源:2016上海复旦大学附中届高三上期中文科数学试卷(解析版) 题型:填空题

甲、乙两人参加法律知识竞赛,共有10道不同的题目,其中选择题有6道,判断题4道,甲、乙两人依次各抽一题(不能抽同一题).则甲、乙中至少有一人抽到选择题的概率等于 .(用数字作答)

查看答案和解析>>

科目:高中数学 来源:2016届河北省高三上学期四调文科数学试卷(解析版) 题型:解答题

(本小题满分12分)

已知函数.设取到最大值.

(1)求的最大值及的值;

(2)在中,角所对的边分别为,且,求的值.

查看答案和解析>>

科目:高中数学 来源:2016届河北省高三上学期四调理科数学试卷(解析版) 题型:选择题

设过曲线为自然对数的底数)上任意一点处的切线为,总存在过曲线上一点处的切线,使得,则实数的取值范围为( )

A. B. C. D.

查看答案和解析>>

科目:高中数学 来源:2015-2016学年湖北武汉华中师大一附高一上期中数学试卷(解析版) 题型:选择题

已知函数,则使方程

成立的整数的个数是( )

A.3个 B.4个 C.5个 D.无穷多个

查看答案和解析>>

科目:高中数学 来源:2016届湖北武汉华中师大一附等高三上第一次联考文数学卷(解析版) 题型:解答题

在等比数列中,公比,前三项和

(1)求数列的通项公式;

(2)设,求数列的前项和

查看答案和解析>>

同步练习册答案