精英家教网 > 高中数学 > 题目详情
已知函数f(x)=ex(ax2+x+1)。
(Ⅰ)设a>0,讨论f(x)的单调性;
(Ⅱ)设a=-1,证明:对,x2∈[0,1],都有|f(x1)-f(x2)|<2。
解:(Ⅰ)∵
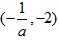
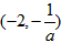
,得,注意到a>0,
∴当时,f(x)在上递增,在上递减,在上递增;
时,f(x)在上递增;当时,f(x)在上递增,
上递减,在上递增;
(Ⅱ)∵a=-1,
由(Ⅰ)
∴f(x)在[0,1]单调增加,
故f(x)在[0,1]的最大值为,最小值为
从而对任意,有
练习册系列答案
相关习题

科目:高中数学 来源: 题型:

已知函数f(x)=e-x(cosx+sinx),将满足f′(x)=0的所有正数x从小到大排成数列{xn}.求证:数列{f(xn)}为等比数列.

查看答案和解析>>

科目:高中数学 来源: 题型:

(2013•西城区二模)已知函数f(x)=e|x|+|x|.若关于x的方程f(x)=k有两个不同的实根,则实数k的取值范围是(  )

查看答案和解析>>

科目:高中数学 来源: 题型:

(2012•菏泽一模)已知函数f(x)=e|lnx|-|x-
1
x
|,则函数y=f(x+1)的大致图象为(  )

查看答案和解析>>

科目:高中数学 来源: 题型:

已知函数f(x)=e-xsinx(其中e=2.718…).
(Ⅰ)求f(x)的单调区间;
(Ⅱ)求f(x)在[-π,+∞)上的最大值与最小值.

查看答案和解析>>

科目:高中数学 来源: 题型:

已知函数f(x)=e-x(x2+x+1).
(Ⅰ)求函数f(x)的单调递减区间;
(Ⅱ)求函数f(x)在[-1,1]上的最值.

查看答案和解析>>

同步练习册答案