精英家教网 > 高中数学 > 题目详情

在平面直角坐标系中,已知点A(,0),向量e=(0,1),点B为直线x=-上的动点,点C满足,点M满足·e=0,=0.

(1)试求动点M的轨迹E的方程;

(2)设点P是轨迹E上的动点,点RNy轴上,圆(x-1)2y2=1内切于△PRN,求△PRN的面积的最小值.


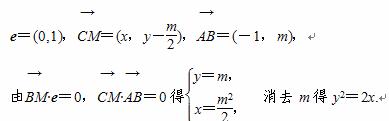
 (1)设M(xy),B(-m),则=(xym),

=(,0)+(-m)=(0,m),

C(0,),

所以动点M的轨迹E的方程为y2=2x.

(2)设P(x0y0),R(0,b),N(0,c),且b>c

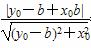
lPRyb

lPR:(y0b)xx0yx0b=0,

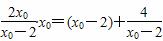
由直线PR与圆相切得,=1,注意到x0>2,化简得(x0-2)b2+2y0bx0=0,

同理得(x0-2)c2+2y0cx0=0,

所以bc是方程(x0-2)x2+2y0xx0=0的两根,

所以|bc|=

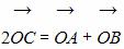
SPRN·+4≥8,当x0=4时△PRN的面积的最小值为8.


练习册系列答案
相关习题

科目:高中数学 来源: 题型:


在平面直角坐标系xOy中,已知=(-1,t),=(2,2).若∠ABO=90°,则实数t的值为________.

查看答案和解析>>

科目:高中数学 来源: 题型:


平面上的向量满足||2+||=4,且·=0,若点C满足,则||的最小值为________.

查看答案和解析>>

科目:高中数学 来源: 题型:


如图,半圆的直径AB=6,O为圆心,C为半圆上不同于AB的任意一点,若P为半径OC上的动点,则的最小值为________.

 

查看答案和解析>>

科目:高中数学 来源: 题型:


F1F2为椭圆y2=1的左、右焦点,过椭圆中心任作一直线与椭圆交于PQ两点,当四边形PF1QF2面积最大时,的值等于(  )

A.0    B.2    C.4    D.-2

查看答案和解析>>

科目:高中数学 来源: 题型:


给定数列1,2+3+4,5+6+7+8+9,10+11+12+13+14+15+16,…,则这个数列的一个通项公式是(  )

A.an=2n2+3n-1

B.ann2+5n-5

C.an=2n3-3n2+3n-1

D.an=2n3n2n-2

查看答案和解析>>

科目:高中数学 来源: 题型:


数列{an}的通项公式an=2n·sin,前n项和为Sn,则S2013=(  )

A.1007                                                        B.-1007

C.2013                                                        D.-2013

查看答案和解析>>

科目:高中数学 来源: 题型:


对于数列{an},定义数列{an1an}为数列{an}的“差数列”,若a1=2,{an}的“差数列”的通项为2n,则数列{an}的前n项和Sn=________.

查看答案和解析>>

科目:高中数学 来源: 题型:


若数列{an}是正项递减等比数列,Tn表示其前n项的积,且T8T12,则当Tn取最大值时,n的值等于(  )

A.9  B.10  C.11  D.12

查看答案和解析>>

同步练习册答案