精英家教网 > 高中数学 > 题目详情

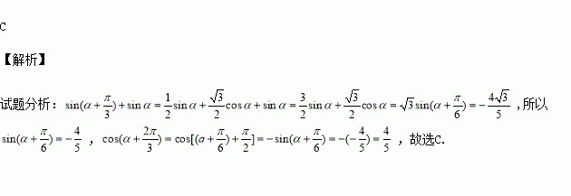
已知,则等于( )

A. B. C. D.

练习册系列答案
相关习题

科目:高中数学 来源:2015-2016学年贵州遵义航天高中高二3月考文科数学试卷(解析版) 题型:选择题

观察下列各图,其中两个分类变量x,y之间关系最强的是( )

A. B.

C. D.

查看答案和解析>>

科目:高中数学 来源:2016届河南省洛阳市高三下学期第二次模拟文科数学试卷(解析版) 题型:选择题

为抛物线的焦点,为该抛物线上不同的三点,为坐标原点,且的面积分别为,则( )

A.2 B.3 C.6 D.9

查看答案和解析>>

科目:高中数学 来源:2016届河南省洛阳市高三下学期第二次模拟理科数学试卷(解析版) 题型:解答题

已知数列的前项和为,且满足.

(1)证明数列为等差数列; (2)求.

查看答案和解析>>

科目:高中数学 来源:2016届河南省洛阳市高三下学期第二次模拟理科数学试卷(解析版) 题型:选择题

中,内角所对的边分别为,则( )

A.2 B.-2 C. D.

查看答案和解析>>

科目:高中数学 来源:2015-2016学年广东省汕头市高一下期中数学试卷(解析版) 题型:解答题

一个公差不为零的等差数列{an}共有100项,首项为5,其第1、4、16项分别为正项等比数列{bn}的第1、3、5项. 记{an}各项和的值为S.

(1)求S (用数字作答);

(2)若{bn}的末项不大于,求{bn}项数的最大值N;

(3)记数列,.求数列的前项的和.

查看答案和解析>>

科目:高中数学 来源:2015-2016学年广东省汕头市高一下期中数学试卷(解析版) 题型:填空题

已知数列的前n项和,某三角形三边之比为,则该三角形最大角的大小是 .

查看答案和解析>>

科目:高中数学 来源:2016届江苏盐城三模数学试卷(解析版) 题型:解答题

(选修4—5:不等式选讲)

已知正数满足,求的最小值.

查看答案和解析>>

科目:高中数学 来源:2016届江苏南通市高三下学期第三次调研考试数学试卷(解析版) 题型:填空题

已知两曲线相交于点.若两曲线在点处的切线与轴分别相交于两点,则线段的长为 .

查看答案和解析>>

同步练习册答案