精英家教网 > 高中数学 > 题目详情

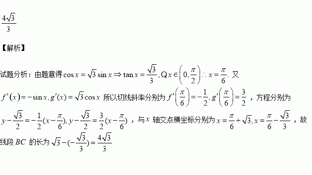
已知两曲线相交于点.若两曲线在点处的切线与轴分别相交于两点,则线段的长为 .

练习册系列答案
相关习题

科目:高中数学 来源:2016届河南省洛阳市高三下学期第二次模拟理科数学试卷(解析版) 题型:选择题

已知,则等于( )

A. B. C. D.

查看答案和解析>>

科目:高中数学 来源:2016届江苏盐城三模数学试卷(解析版) 题型:填空题

若函数的图象上有且只有两点,使得函数的图象上存在两点,且分别关于坐标原点对称,则实数的取值集合是 .

查看答案和解析>>

科目:高中数学 来源:2016届江苏南通市高三下学期第三次调研考试数学试卷(解析版) 题型:解答题

【选修4-1】几何证明选讲

中,的平分线交于点的平分线交于点.

求证:.

查看答案和解析>>

科目:高中数学 来源:2016届江苏南通市高三下学期第三次调研考试数学试卷(解析版) 题型:填空题

在平面直角坐标系中,圆,圆,若圆 上存在点满足:过点向圆作两条切线切点为的面积为1,则正数的取值范围是 .

查看答案和解析>>

科目:高中数学 来源:2016届江苏南通市高三下学期第三次调研考试数学试卷(解析版) 题型:填空题

如图是一个算法流程图,则输出的的值为 .

查看答案和解析>>

科目:高中数学 来源:2016届江苏省苏北三市高三最后一次模拟考试数学试卷(解析版) 题型:解答题

【选修4-4:坐标系与参数方程】

在极坐标系中,直线的极坐标方程为,以极点为原点,极轴为轴的正半轴建立平面直角坐标系,曲线的参数方程为为参数),求直线与曲线交点的直角坐标.

查看答案和解析>>

科目:高中数学 来源:2016届江苏省苏北三市高三最后一次模拟考试数学试卷(解析版) 题型:填空题

已知点为抛物线的焦点,该抛物线上位于第一象限的点到其准线的距离为5,则直线的斜率为 .

查看答案和解析>>

科目:高中数学 来源:2015-2016学年天津市等六校高二上学期期末理科数学卷(解析版) 题型:选择题

是双曲线的两个焦点,在双曲线上,当的面积为2时,的值为

A.2 B.3 C.4 D.6

查看答案和解析>>

同步练习册答案