精英家教网 > 高中数学 > 题目详情

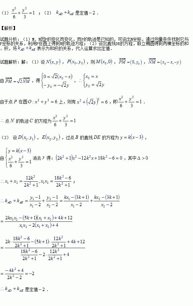
己知⊙O:x2 +y2=6,P为⊙O上动点,过P作PM⊥x轴于M,N为PM上一点,且

(1)求点N的轨迹C的方程;

(2)若A(2,1),B(3,0),过B的直线与曲线C相交于D、E两点,则kAD+kAE是否为定值?若是,求出该值;若不是,说明理由.

练习册系列答案
相关习题

科目:高中数学 来源:2015-2016学年湖南省高二上期中数学试卷(解析版) 题型:填空题

已知等差数列的前项和为,若,则的最大值为_____.

查看答案和解析>>

科目:高中数学 来源:2015-2016学年四川省实验学校高一上学期期中考试数学试卷(解析版) 题型:选择题

已知上的偶函数,且在上为减函数,若

则实数的取值范围是( )

A、 B、 C、 D、

查看答案和解析>>

科目:高中数学 来源:2015-2016学年贵州省高二上滾动训练2数学试卷(解析版) 题型:选择题

下列命题中错误的是

A.如果平面⊥平面,那么平面内一定存在直线平行于平面

B.如果平面不垂直于平面,那么平面内一定不存在直线垂直于平面

C如果平面⊥平面,平面⊥平面,那么⊥平面

D.如果平面⊥平面,那么平面内所有直线都垂直于平面

查看答案和解析>>

科目:高中数学 来源:2015-2016学年广西桂林市高一上期中数学试卷(解析版) 题型:解答题

如图,长方体的长、宽、高分别为4、3、5,已知分别为线段的中点.

(1)求证:

(2)求多面体的体积.

查看答案和解析>>

科目:高中数学 来源:2015-2016年北大附中河南分校高二宏志班上抽考文数学卷(解析版) 题型:解答题

已知函数

(1)讨论函数的单调性;

(2)设,证明:对任意

查看答案和解析>>

科目:高中数学 来源:2015-2016学年安徽省蚌埠市高二上期中文科数学试卷(解析版) 题型:填空题

已知三棱锥的各顶点都在一个半径为的球面上,球心上,底面,则球的体积与三棱锥体积之比是

查看答案和解析>>

科目:高中数学 来源:2016届云南师范大附中高考适应性月考三理科数学试卷(解析版) 题型:解答题

已知椭圆的焦点在轴上,离心率等于,且过点

(Ⅰ)求椭圆的标准方程;

(Ⅱ)过椭圆的右焦点作直线交椭圆两点,交轴于点,若,求证:为定值.

查看答案和解析>>

科目:高中数学 来源:2016届安徽省高三上第五次月考文科数学试卷(解析版) 题型:选择题

已知椭圆上有一点P,是椭圆的左右焦点,若为直角三角形,则这样的点P有( )个

A.3 B.4 C.6 D.8

查看答案和解析>>

同步练习册答案