精英家教网 > 高中数学 > 题目详情

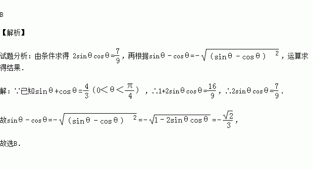
(2015春•兰山区期中)已知,则sinθ﹣cosθ的值为( )

A. B. C. D.

练习册系列答案
相关习题

科目:高中数学 来源:2015-2016学年河北省高一上周考数学试卷(解析版) 题型:填空题

函数的最大值为________.

查看答案和解析>>

科目:高中数学 来源:2016届陕西省商洛市高三上第二次模拟文科数学试卷(解析版) 题型:选择题

(2005•江西)在△ABC中,设命题p:,命题q:△ABC是等边三角形,那么命题p是命题q的( )

A.充要条件 B.必要不充分条件

C.充分不必要条件 D.即不充分也不必要条件

查看答案和解析>>

科目:高中数学 来源:2016届宁夏石嘴山三中高三补习班上第三次适应性考试数学试卷(解析版) 题型:选择题

(2012•贵州模拟)给出下列四个命题:

(1)命题“若,则tanα=1”的逆否命题为假命题;

(2)命题p:?x∈R,sinx≤1.则¬p:?x0∈R,使sinx0>1;

(3)“”是“函数y=sin(2x+ϕ)为偶函数”的充要条件;

(4)命题p:“?x0∈R,使”;命题q:“若sinα>sinβ,则α>β”,那么(¬p)∧q为真命题.

其中正确的个数是( )

A.1 B.2 C.3 D.4

查看答案和解析>>

科目:高中数学 来源:2016届江苏省盐城市高三上12月月测数学试卷(解析版) 题型:填空题

(2015秋•盐城校级月考)已知集合A={1,0,﹣e,﹣2i2}(i是虚数单位),B={x|x2﹣1>0},则A∩B=

查看答案和解析>>

科目:高中数学 来源:2016届宁夏石嘴山三中高三上第三次适应性考试理科数学试卷(解析版) 题型:选择题

(2015•郑州一模)命题p:“a=﹣2”是命题q:“直线ax+3y﹣1=0与直线6x+4y﹣3=0垂直”成立的( )

A.充要条件 B.充分非必要条件

C.必要非充分条件 D.既不充分也不必要条件

查看答案和解析>>

科目:高中数学 来源:2016届河南省高三上第八次月考数学试卷(解析版) 题型:解答题

(2012•福州模拟)如图,三棱柱ABC﹣A1B1C1中,AA1⊥平面ABC,∠BAC=90°,AB=2,AC=6,点D在线段BB1上,且BD=,A1C∩AC1=E.

(Ⅰ)求证:直线DE与平面ABC不平行;

(Ⅱ)设平面ADC1与平面ABC所成的锐二面角为θ,若cosθ=,求AA1的长;

(Ⅲ)在(Ⅱ)的条件下,设平面ADC1∩平面ABC=l,求直线l与DE所成的角的余弦值.

查看答案和解析>>

科目:高中数学 来源:2015-2016学年四川省高二上周末练习理科数学卷(解析版) 题型:解答题

如图,正方体棱长为8,分别为中点,分别为棱上动点,且.

(1)求长的取值范围;

(2)当取得最小值时,求证:共面;并求出此时的交点到直线的距离.

查看答案和解析>>

科目:高中数学 来源:2015-2016学年云南省昭通市高二上12月月考理科数学卷(解析版) 题型:选择题

(2013•山东)将某选手的9个得分去掉1个最高分,去掉1个最低分,7个剩余分数的平均分为91,现场做的9个分数的茎叶图后来有一个数据模糊,无法辨认,在图中以x表示:则7个剩余分数的方差为( )

A. B. C.36 D.

查看答案和解析>>

同步练习册答案