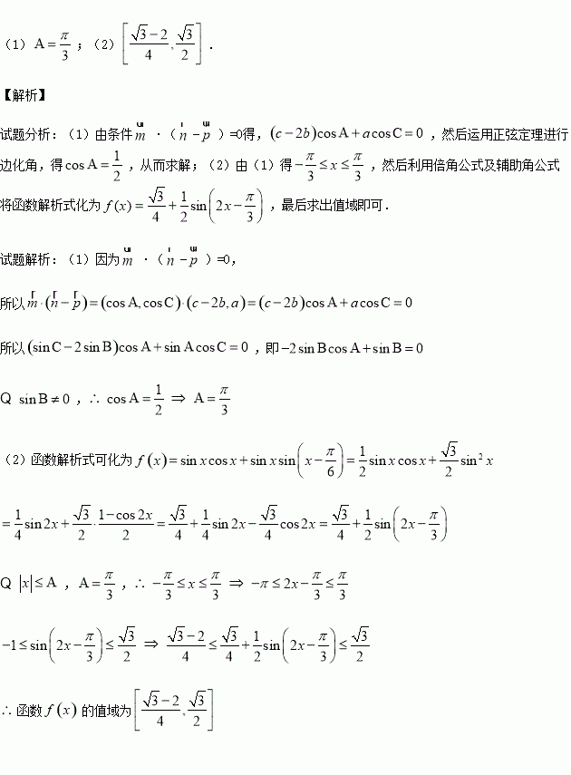
设△ABC的三个内角A,B,C所对的边长分别为a,b,c.平面向量
=(cosA,cosC),
=(c,a),
=(2b,0),且
·(
-
)=0
(1)求角A的大小;
(2)当|x|≤A时,求函数f(x)=sinxcosx+sinxsin(x-
)的值域.
科目:高中数学 来源: 题型:
设m,n是空间中的两条直线,α,β是空间中的两个平面,则下列选项中不正确的是( )
A.当n⊥α时,“n⊥β”是“α∥β”的充要条件
B.当m⊂α时,“m⊥β”是“α⊥β”的充分不必要条件
C.当m⊂α时,“n∥α”是“m∥n”的必要不充分条件
D.当m⊂α时,“n⊥α”是“m⊥n”的充分不必要条件
查看答案和解析>>
科目:高中数学 来源: 题型:
在空间直角坐标系Oxyz中,平面OAB的法向量为n=(2,-2,1),已知P(-1,3,2),则点P到平面OAB的距离d等于( )
A.4 B.2 C.3 D.1
查看答案和解析>>
科目:高中数学 来源: 题型:
如图K4513所示,三棱柱ABC A1B1C1的侧棱AA1⊥底面ABC,∠ACB=90°,E是棱CC1上的动点,F是AB的中点,AC=1,BC=2,AA1=4.
(1)当E是棱CC1的中点时,求证:CF∥平面AEB1.
(2)在棱CC1上是否存在点E,使得二面角A EB1 B的余弦值是
?若存在,求出CE的长;若不存在,请说明理由.
![]()
图K4513
查看答案和解析>>
科目:高中数学 来源:2015-2016学年河南省英文学校高二上学期期中考试数学试卷(解析版) 题型:填空题
如图,在山腰测得山顶仰角∠CAB=45°,沿倾斜角为30°的斜坡走1 000米至S点,又测得山顶仰角∠DSB=75°,则山高BC为_______米.
![]()
A.1000 B.500 C.800 D.1200
查看答案和解析>>
科目:高中数学 来源:2016届四川省成都市高三11月段测三理科数学试卷(解析版) 题型:解答题
己知函数f(x)=
+blnx+c(a>0)的图像在点(1,f(1))处的切线方程为x-y-2=0
(1)用a表示b,c;
(2)若函数g(x)=x-f(x)在x∈(0,1]上的最大值为2,求实数a的取值范围.
查看答案和解析>>
科目:高中数学 来源:2016届江西省高三上学期第三次考试理科数学试卷(解析版) 题型:解答题
设
为实数,函数![]()
(Ⅰ)当
时,求
在
上的最大值;
(Ⅱ)设函数
,当
有两个极值点
时,总有
,求实数
的值。(
为
的导函数)
查看答案和解析>>
科目:高中数学 来源:2015-2016学年西藏日喀则一中高二10月月考文数学试卷(解析版) 题型:解答题
某百货超市欲在春节期间对某新上市商品开展促销活动,经测算该商品的销售量
万件与促销费用
万元满足
.已知
万件该商品的进价成本为
万元,商品的销售价格定为
元/件.
(1)将该商品的利润
万元表示为促销费用
万元的函数;
(2)促销费用投入多少万元时,商家的利润最大?最大利润为多少?
查看答案和解析>>
科目:高中数学 来源:2015-2016学年广东省清远市实验学校高二上学期期中数学试卷(解析版) 题型:选择题
下列给出的赋值语句中正确的是 ( )
A.x =-x B.5 = M C.B=A=3 D.x +y = 0
查看答案和解析>>
湖北省互联网违法和不良信息举报平台 | 网上有害信息举报专区 | 电信诈骗举报专区 | 涉历史虚无主义有害信息举报专区 | 涉企侵权举报专区
违法和不良信息举报电话:027-86699610 举报邮箱:58377363@163.com