精英家教网 > 高中数学 > 题目详情

已知a∈R,函数f(x)=x2-2alnx.

(Ⅰ)当a=1时,求f(x)的单调区间;

(Ⅱ)若a>0,试证明:“方程f(x)=2ax有唯一解”的充要条件是“”.

答案:
解析:

  解:(Ⅰ)

  当时,,∴单调递增区间为

  当时,,∴单调递减区间为

  (Ⅱ)记

  

  (1)充分性:若,则

  当时,在(0,1)上是单调递减函数;

  当时,上是单调递增函数.

  ∴当时,,即,当且仅当时取等号.

  ∴方程有唯一解.

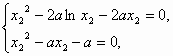
  (2)必要性:若方程有唯一解,即有唯一解.

  令,得

  ∵(舍去),

  当时,上是单调递减函数;

  当时,上是单调递增函数.

  ∴当时,

  ∵有唯一解,∴.则

  ∴,∵

  设函数∵在是增函数,∴至多有一解.

  ∵,∴方程(*)的解为,即,解得

  由(1)、(2)知,“方程有唯一解”的充要条件是“


练习册系列答案
相关习题

科目:高中数学 来源: 题型:

已知a∈R,函数f(x)=
1
12
x3+
a+1
2
x2+(4a+1)x

(Ⅰ)如果函数g(x)=f′(x)是偶函数,求f(x)的极大值和极小值;
(Ⅱ)如果函数f(x)是(-∞,?+∞)上的单调函数,求a的取值范围.

查看答案和解析>>

科目:高中数学 来源: 题型:

已知a∈R,函数f(x)=ln(x+1)-x2+ax+2.
(1)若函数f(x)在[1,+∞)上为减函数,求实数a的取值范围;
(2)令a=-1,b∈R,已知函数g(x)=b+2bx-x2.若对任意x1∈(-1,+∞),总存在x2∈[-1,+∞),使得f(x1)=g(x2)成立,求实数b的取值范围.

查看答案和解析>>

科目:高中数学 来源: 题型:

已知a∈R,函数f(x)=
a
x
+lnx-1,g(x)=(lnx-1)
e
x
 
+x
(其中e为自然对数的底).
(1)当a>0时,求函数f(x)在区间(0,e]上的最小值;
(2)是否存在实数x0∈(0,e],使曲线y=g(x)在点x=x0处的切线与y轴垂直?若存在求出x0的值,若不存在,请说明理由.

查看答案和解析>>

科目:高中数学 来源: 题型:

(2013•太原一模)已知a∈R,函数 f(x)=x3+ax2+(a-3)x的导函数是偶函数,则曲线y=f(x)在原点处的切线方程为
3x+y=0
3x+y=0

查看答案和解析>>

科目:高中数学 来源: 题型:

(2013•浙江)已知a∈R,函数f(x)=x3-3x2+3ax-3a+3.
(1)求曲线y=f(x)在点(1,f(1))处的切线方程;
(2)当x∈[0,2]时,求|f(x)|的最大值.

查看答案和解析>>

同步练习册答案