精英家教网 > 高中数学 > 题目详情

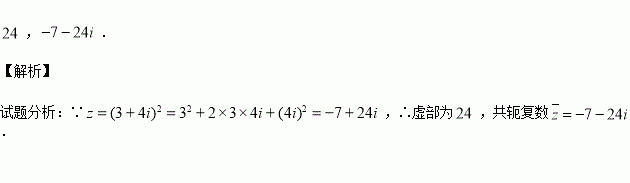
复数的虚部为 的共轭复数

练习册系列答案
相关习题

科目:高中数学 来源:2015-2016学年四川成都市六校高二上学期期中联考理科数学试卷(解析版) 题型:选择题

若一个圆锥的侧面积是底面积的2倍,则圆锥侧面展开图的扇形的圆心角为

A. B. C. D.

查看答案和解析>>

科目:高中数学 来源:2014-2015年河北保定一中高二下第一次段考理数学试卷(解析版) 题型:选择题

下列积分值等于1的是( )

A. B.

C. D.

查看答案和解析>>

科目:高中数学 来源:2014-2015学年广东省高二6月月考理科数学试卷(解析版) 题型:填空题

如图所示的三角形数阵叫“莱布尼兹调和三角形”,它们是由整数的倒数组成的,第行有个数且两端的数均为,每个数是它下一行左右相邻两数的和,如,…,则第10行第4个数(从左往右数)为

查看答案和解析>>

科目:高中数学 来源:2016届重庆市高三上学期期中文科数学试卷(解析版) 题型:选择题

是定义域在上的偶函数,对,都有且当时,,若在区间内关于的方程至少有两个不同的实数根,至多有3个不同的实数根,则的取值范围是( )

A. B. C. D.

查看答案和解析>>

科目:高中数学 来源:2015-2016年浙江宁波效实中学高二1,2班上期中数学卷(解析版) 题型:填空题

的展开式中,含的项的系数是 .(用数字作答)

查看答案和解析>>

科目:高中数学 来源:2015-2016学年河北省高一上学期期中数学试卷(解析版) 题型:选择题

下列根式、分数指数幂的互化中,正确的是

A.

B.

C.

D.

查看答案和解析>>

科目:高中数学 来源:2016届浙江省高三期中理科数学试卷(解析版) 题型:解答题

(本题满分14分)已知数列满足:

(Ⅰ)求的值;

(Ⅱ)设,试求数列的通项公式;

(Ⅲ)对于任意的正整数n,试讨论并证明的大小关系.

查看答案和解析>>

科目:高中数学 来源:2016届甘肃省高三上学期期中文科数学试卷(解析版) 题型:填空题

若cos-sin,则sin=________.

查看答案和解析>>

同步练习册答案