精英家教网 > 高中数学 > 题目详情

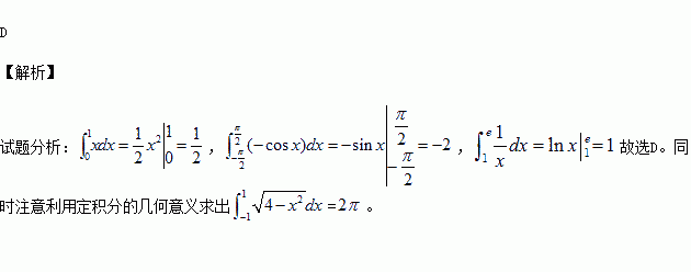
下列积分值等于1的是( )

A. B.

C. D.

练习册系列答案
相关习题

科目:高中数学 来源:2014-2015学年上海市高一下学期期末考试数学试卷(解析版) 题型:选择题

有穷数列,…,中的每一项都是,0,1这三个数中的某一个数,若+++…+=425,且+++…+=3870,则有穷数列,…,中值为0的项数是 ( )

A. B. C. D.

查看答案和解析>>

科目:高中数学 来源:2015-2016学年湖北省宜昌市高一上学期期中考试数学试卷(解析版) 题型:选择题

下列四组函数,表示同一函数的是 ( )

A.f(x)=,g(x)=x

B.f(x)=x,g(x)=

C.f(x)=,g(x)=

D.f(x)=|x+1|,g(x)=

查看答案和解析>>

科目:高中数学 来源:2015-2016学年福建厦门双十中学高二上期中理科数学试卷(解析版) 题型:解答题

(本小题满分14分)

已知是椭圆的左右焦点,椭圆的离心率上异于左右顶点的任意一点,且的面积的最大值为1.

(Ⅰ)求椭圆的方程;

(Ⅱ)直线是椭圆在点P处的切线,过的垂线,交直线相交于Q,求证:点Q落在一条定直线上,并求直线的方程.

查看答案和解析>>

科目:高中数学 来源:2014-2015年河北保定一中高二下第一次段考文数学试卷(解析版) 题型:选择题

设函数是定义在上的奇函数,并且时,有,则等于( )

A.0.5 B.-0.5 C.1 D.-1

查看答案和解析>>

科目:高中数学 来源:2016届辽宁省大连市高三10月月考文科数学试卷(解析版) 题型:选择题

设四边形为平行四边形,.若点满足,则( )

(A)20 (B)15 (C)9 (D)6

查看答案和解析>>

科目:高中数学 来源:2014-2015学年河北省高二上第二次段考理科数学试卷(解析版) 题型:填空题

已知直线恒过一定点,则此定点的坐标是

查看答案和解析>>

科目:高中数学 来源:2015-2016学年浙江省高二上期中数学试卷(解析版) 题型:填空题

复数的虚部为 的共轭复数

查看答案和解析>>

科目:高中数学 来源:2016届江西省高三上学期期中理科数学试卷(解析版) 题型:填空题

已知函数,若存在使得函数的值域为,则实数的取值范围是

查看答案和解析>>

同步练习册答案