精英家教网 > 高中数学 > 题目详情
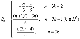
数列{an}的通项an=n2(cos2-sin2),其前n项和为Sn
(1)求Sn
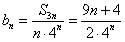
(2)bn=,求数列{bn}的前n项和Tn
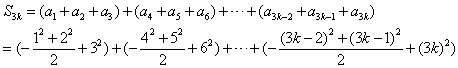
解:(1)由于






(2)


两式相减得
练习册系列答案
相关习题

科目:高中数学 来源: 题型:

设Sn是等差数列{an}前n项和,若a4=9,S3=15,则数列{an}的通项为(  )
A、2n-3B、2n-1C、2n+1D、2n+3

查看答案和解析>>

科目:高中数学 来源: 题型:

已知数列{an}中,a1为由曲线y=
x
,直线y=x-2及y轴
所围成图形的面积的
3
32
Sn为该数列的前n项和,且Sn+1=an(1-an+1)+Sn
(1)求数列{an}的通项公式;
(2)若不等式an+an+1+an+2+…+a3n
a
24
对一切正整数n都成立,求正整数a的最大值,并证明结论.

查看答案和解析>>

科目:高中数学 来源: 题型:

设数列{an}的通项公式是an=(-1)n(2n-1),n∈N+,则a7的值 为(  )

查看答案和解析>>

科目:高中数学 来源: 题型:

数列{an}的通项公式是an=(-1)n(n2+1),则a3=(  )

查看答案和解析>>

科目:高中数学 来源: 题型:单选题

各项都为正数的数列{an}中,a1=1,a2=3,a3=6,a4=10猜想数列{an}的通项


  1. A.
    数学公式
  2. B.
    数学公式
  3. C.
    数学公式
  4. D.
    数学公式

查看答案和解析>>

同步练习册答案