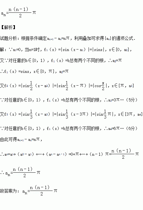
(2012秋•东台市校级期中)设数列{an}是首项为0的递增数列,
,满足:对于任意的b∈[0,1),fn(x)=b总有两个不同的根,则{an}的通项公式为 .
科目:高中数学 来源:2015-2016学年江苏省南通市高一上第一阶段考试数学试卷(解析版) 题型:解答题
已知集合A={x|x2-3x-10≤0},集合B={x|p+1≤x≤2p-1}.若B
A,求实数p的取值范围.
查看答案和解析>>
科目:高中数学 来源:2016届上海市七校高三上12月联考文科数学试卷(解析版) 题型:填空题
(2015秋•上海月考)奇函数f(x)的定义域为R,若f(x+2)为偶函数,且f(1)=1,则f(100)+f(101)= .
查看答案和解析>>
科目:高中数学 来源:2016届上海市七校高三上12月联考理科数学试卷(解析版) 题型:填空题
(2015秋•上海月考)已知f(x)=kx﹣|x﹣1|有两个不同的零点,则实数k的取值范围是 .
查看答案和解析>>
科目:高中数学 来源:2016届陕西省渭南市高三上第三次月考数学试卷(解析版) 题型:填空题
(2010•聊城二模)已知D为三角形ABC的边BC的中点,点P满足
,则实数λ的值为 .
查看答案和解析>>
科目:高中数学 来源:2016届陕西省商洛市高三上第二次模拟文科数学试卷(解析版) 题型:选择题
(2005•江西)在△ABC中,设命题p:
,命题q:△ABC是等边三角形,那么命题p是命题q的( )
A.充要条件 B.必要不充分条件
C.充分不必要条件 D.即不充分也不必要条件
查看答案和解析>>
科目:高中数学 来源:2016届宁夏石嘴山三中高三补习班上第三次适应性考试数学试卷(解析版) 题型:选择题
(2012•贵州模拟)给出下列四个命题:
(1)命题“若
,则tanα=1”的逆否命题为假命题;
(2)命题p:?x∈R,sinx≤1.则¬p:?x0∈R,使sinx0>1;
(3)“
”是“函数y=sin(2x+ϕ)为偶函数”的充要条件;
(4)命题p:“?x0∈R,使
”;命题q:“若sinα>sinβ,则α>β”,那么(¬p)∧q为真命题.
其中正确的个数是( )
A.1 B.2 C.3 D.4
查看答案和解析>>
科目:高中数学 来源:2015-2016学年四川省高二上周末练习理科数学卷(解析版) 题型:解答题
如图,正方体
棱长为8,
分别为
中点,
分别为棱
、
上动点,且
.
![]()
(1)求
长的取值范围;
(2)当
取得最小值时,求证:
与
共面;并求出此时
与
的交点
到直线
的距离.
查看答案和解析>>
湖北省互联网违法和不良信息举报平台 | 网上有害信息举报专区 | 电信诈骗举报专区 | 涉历史虚无主义有害信息举报专区 | 涉企侵权举报专区
违法和不良信息举报电话:027-86699610 举报邮箱:58377363@163.com