精英家教网 > 高中数学 > 题目详情
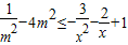
设函数f(x)=x2-1,对任意恒成立,则实数m的取值范围是   
【答案】分析:依据题意得上恒定成立,即上恒成立,求出函数函数的最小值即可求出m的取值.
解答:解:依据题意得上恒定成立,
上恒成立.
时,函数取得最小值,所以,即(3m2+1)(4m2-3)≥0,
解得
故答案为:(-∞,-]∪[,+∞).
点评:本题是较为典型的恒成立问题,难度较大,解决恒成立问题通常可以利用分离变量转化为最值的方法求解.
练习册系列答案
相关习题

科目:高中数学 来源: 题型:

设函数f(x)=x2+|x-2|-1,x∈R.
(1)判断函数f(x)的奇偶性;
(2)求函数f(x)的最小值.

查看答案和解析>>

科目:高中数学 来源: 题型:

设函数f(x)=x2-ax+a+3,g(x)=ax-2a.若存在x0∈R,使得f(x0)<0与g(x0)<0同时成立,则实数a的取值范围是
 

查看答案和解析>>

科目:高中数学 来源: 题型:

设函数f(x)=x2+aln(x+1),a∈R.(注:(ln(x+1))′=
1x+1
).
(1)讨论f(x)的单调性.
(2)若f(x)有两个极值点x1,x2,且x1<x2,求f(x2)的取值范围.

查看答案和解析>>

科目:高中数学 来源: 题型:

设函数f(x)=x2-mlnx,h(x)=x2-x+a.
(1)若曲线y=f(x)在x=1处的切线为y=x,求实数m的值;
(2)当m=2时,若方程f(x)-h(x)=0在[1,3]上恰好有两个不同的实数解,求实数a的取值范围;
(3)是否存在实数m,使函数f(x)和函数h(x)在公共定义域上具有相同的单调性?若存在,求出m的值,若不存在,说明理由.

查看答案和解析>>

科目:高中数学 来源: 题型:

设函数f(x)=x2+x+aln(x+1),其中a≠0.
(1)若a=-6,求f(x)在[0,3]上的最值;
(2)若f(x)在定义域内既有极大值又有极小值,求实数a的取值范围;
(3)求证:不等式ln
n+1
n
n-1
n3
(n∈N*)恒成立.

查看答案和解析>>

同步练习册答案