设函数f(x)=x2-ax+bln(x+1)(a,b∈R,且a≠2).
(1)当b=1且函数f(x)在其定义域上为增函数时,求a的取值范围;
(2)若函数f(x)在x=1处取得极值,试用a表示b;
(3)在(2)的条件下,讨论函数f(x)的单调性.
【答案】
分析:(1)当b=1且函数f(x)在其定义域上为增函数,转化为f′(x)≥0恒成立,x∈(-1,+∞),采取分离参数的方法求得a的取值范围;(2)若函数f(x)在x=1处取得极值,得f′(1)=0,求出a,b的方程;(3)在(2)的条件下,讨论函数f(x)的单调性,求导,比较方程f′(x)=0两根的大小,确定函数的单调区间.
解答:解:(1)当b=1时,函数f(x)=x
2-ax+bln(x+1),
其定义域为(-1,+∞).∴

.
∵函数f(x)是增函数,∴当x>-1时,∴

恒成立.
即当x>-1时,

恒成立.
∵当x>-1时,

,
且当

时取等号.∴a的取值范围为

.
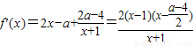
(2)∵

,且函数f(x)在x=1处取得极值,
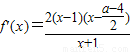
∴f′(1)=0.∴b=2a-4.此时

.
当

,即a=6时,f'(x)≥0恒成立,
此时x=1不是极值点.∴b=2a-4(a≠6,且a≠2)
(3)由

得
①当a<2时,

.∴当-1<x<1时,f′(x)<0;
当x>1时,f′(x)>0.∴当a<2时,
f(x)的单调递减区间为(-1,1),单调递增区间为(1,+∞).
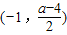
②当2<a<6时,

.
∴当-1<x<

,或x>1时,f'(x)>0;
当

时,f'(x)<0;
∴当2<a<6时,f(x)的单调递减区间为

,
单调递增区间为

,(1,+∞).
③当a>6时,

.∴当-1<x<1,或x>

时,f'(x)>0;
当

时,f'(x)<0;
∴当a>6时,f(x)的单调递减区间为

,
单调递增区间为

.
综上所述:∴当a<2时,f(x)的单调递减区间为(-1,1),
单调递增区间为(1,+∞);
当2<a<6时,f(x)的单调递减区间为

,
单调递增区间为

;
当a>6时,f(x)的单调递减区间为

,
单调递增区间为

.
点评:考查函数在某点取得极值的条件和函数的单调性与导数的关系,在求a的取值范围时采取的分离参数的方法,转化为求函数的最值问题,体现了转化的思想方法,讨论函数单调性是,对于程f′(x)=0两根的大小的比较,体现了分类讨论的思想方法,属难题.