精英家教网 > 高中数学 > 题目详情

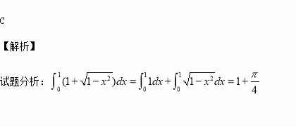
计算的结果为( )

A.1 B. C. D.

练习册系列答案
相关习题

科目:高中数学 来源:2015-2016学年福建省四地六校高二下学期第一次联考文科数学试卷(解析版) 题型:选择题

下面几种推理过程是演绎推理的是( )

A.两条直线平行,同旁内角互补,如果是两条平行直线的同旁内角,则

B.由平面三角形的性质,推测空间四面体的性质

C.三角形内角和是,四边形内角和是,五边形内角和是,由此得凸多边形内角和是

D.在数列中,,由此归纳出的通项公式

查看答案和解析>>

科目:高中数学 来源:2015-2016学年福建省高二下期初考试文科数学试卷(解析版) 题型:选择题

直线与圆相交于P、Q两点。若| PQ |,则的取值范围是( )

A. B. C. D.

查看答案和解析>>

科目:高中数学 来源:2015-2016学年福建省高二下期初考试理科数学试卷(解析版) 题型:填空题

双曲线的虚轴长是实轴长的2倍,则

查看答案和解析>>

科目:高中数学 来源:2015-2016学年福建省高二下期初考试理科数学试卷(解析版) 题型:选择题

如果复数为纯虚数,那么实数的值为( ).

A.-2 B.1 C.2 D.1或 -2

查看答案和解析>>

科目:高中数学 来源:2015-2016学年广东省高一下第一次月考数学试卷(解析版) 题型:解答题

中,角的对边分别为的面积为

(1)求的值;

(2)求的值.

查看答案和解析>>

科目:高中数学 来源:2015-2016学年广东省高一下第一次月考数学试卷(解析版) 题型:选择题

,则( )

A. B. C. D.

查看答案和解析>>

科目:高中数学 来源:2015-2016学年福建省四地六校高一下学期第一次联考数学试卷(解析版) 题型:填空题

将正方形沿对角线折成直二面角,有如下四个结论:

; ②是等边三角形;

所成的角是60°; ④所成的角是60°.

其中正确结论的序号是________.

查看答案和解析>>

科目:高中数学 来源:2015-2016学年青海西宁四中高一下第一次月考数学试卷(解析版) 题型:解答题

在△ABC中,D在边BC上,且BD=2,DC=1,∠B=60°,∠ADC=150°,求AC的长及△ABC的面积

查看答案和解析>>

同步练习册答案