精英家教网 > 高中数学 > 题目详情

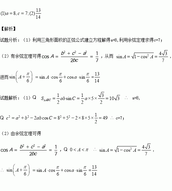
中,角的对边分别为的面积为

(1)求的值;

(2)求的值.

练习册系列答案
相关习题

科目:高中数学 来源:2015-2016学年福建省四地六校高二下学期第一次联考文科数学试卷(解析版) 题型:选择题

复数的模为,则的值为( )

A. B. C. D.

查看答案和解析>>

科目:高中数学 来源:2015-2016学年福建省高二下期初考试文科数学试卷(解析版) 题型:选择题

与圆的公切线有且仅有( )

A.1条 B.2条 C.3条 D.4条

查看答案和解析>>

科目:高中数学 来源:2015-2016学年福建省高二下期初考试理科数学试卷(解析版) 题型:选择题

抛物线上的点到直线距离的最小值是( )

A. B. C. D.

查看答案和解析>>

科目:高中数学 来源:2015-2016学年福建省高二下期初考试理科数学试卷(解析版) 题型:选择题

计算的结果为( )

A.1 B. C. D.

查看答案和解析>>

科目:高中数学 来源:2015-2016学年广东省高一下第一次月考数学试卷(解析版) 题型:填空题

从2012年参加奥运知识竞赛的学生中抽出60名,将其成绩(均为整数)整理后画出的频率分布直方图如图所示.观察图形,估计这次奥运知识竞赛的及格率(大于或等于60分为及格)为__________.

查看答案和解析>>

科目:高中数学 来源:2015-2016学年广东省高一下第一次月考数学试卷(解析版) 题型:选择题

数列{an}的通项公式,其前n项和为Sn,则S2012等于( )

A.1006 B.2012 C.503 D.0

查看答案和解析>>

科目:高中数学 来源:2015-2016学年福建省四地六校高一下学期第一次联考数学试卷(解析版) 题型:选择题

在正方体中,分别是线段上的不与端点重合的动点,如果,有下面四个结论:①;②∥平面;③异面;④.其中一定正确的有( )

A.①②③ B.②③④ C.①②④ D.①③④

查看答案和解析>>

科目:高中数学 来源:2015-2016学年青海西宁四中高一下第一次月考数学试卷(解析版) 题型:填空题

若等差数列的前6项和为23,前9项和为57,则数列的前项和__________

查看答案和解析>>

同步练习册答案