精英家教网 > 高中数学 > 题目详情

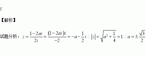
复数的模为,则的值为( )

A. B. C. D.

练习册系列答案
相关习题

科目:高中数学 来源:2015-2016学年江西省抚州市高二3月月考理科数学试卷(解析版) 题型:选择题

已知,由程序框图输出的值为( )

A. B. C. D.

查看答案和解析>>

科目:高中数学 来源:2015-2016学年广东省高二下第一次月考理科数学试卷(解析版) 题型:选择题

是两个命题,若是真命题,那么( )

A.是真命题且是假命题

B.是真命题且是真命题

C.是假命题且是真命题

D.是假命题且是假命题

查看答案和解析>>

科目:高中数学 来源:2015-2016学年福建省四地六校高二下学期第一次联考文科数学试卷(解析版) 题型:填空题

复数的共轭复数是___________

查看答案和解析>>

科目:高中数学 来源:2015-2016学年福建省四地六校高二下学期第一次联考文科数学试卷(解析版) 题型:选择题

下面几种推理过程是演绎推理的是( )

A.两条直线平行,同旁内角互补,如果是两条平行直线的同旁内角,则

B.由平面三角形的性质,推测空间四面体的性质

C.三角形内角和是,四边形内角和是,五边形内角和是,由此得凸多边形内角和是

D.在数列中,,由此归纳出的通项公式

查看答案和解析>>

科目:高中数学 来源:2015-2016学年福建省四地六校高二下学期第一次联考理科数学试卷(解析版) 题型:解答题

如图所示,平面平面,且四边形为矩形,四边形为直角梯形,

(Ⅰ)求证平面

(Ⅱ)求直线与平面所成角的余弦值;

查看答案和解析>>

科目:高中数学 来源:2015-2016学年福建省四地六校高二下学期第一次联考理科数学试卷(解析版) 题型:选择题

已知函数,则方程恰有两个不同的实根时,实数的取值范围是( )(注:为自然对数的底数)

A. B. C. D.

查看答案和解析>>

科目:高中数学 来源:2015-2016学年福建省高二下期初考试文科数学试卷(解析版) 题型:填空题

如图,F1、F2是双曲线的左、右焦点,过F1的直线与双曲线的左右两支分别交于点A、B.若为等边三角形,则双曲线的离心率为

查看答案和解析>>

科目:高中数学 来源:2015-2016学年广东省高一下第一次月考数学试卷(解析版) 题型:解答题

中,角的对边分别为的面积为

(1)求的值;

(2)求的值.

查看答案和解析>>

同步练习册答案