精英家教网 > 高中数学 > 题目详情

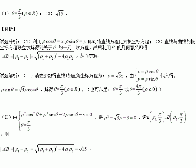
平面直角坐标系中,直线l的参数方程(t为参数),以坐标原点为极点,x轴的正半轴为极轴,建立极坐标系,已知曲线C的极坐标方程为

(1)求直线l的极坐标方程;

(2)若直线l与曲线C相交于A,B两点,求|AB|.

练习册系列答案
相关习题

科目:高中数学 来源:2015-2016学年福建省高二上期中理科数学试卷(解析版) 题型:解答题

已知数列的前项和

(Ⅰ)求数列的通项公式;

(Ⅱ)令,试比较的大小,并予以证明.

查看答案和解析>>

科目:高中数学 来源:2015-2016学年河南省高一12月月考数学试卷(解析版) 题型:选择题

如表显示出函数值y随自变量x变化的一组数据,判断它最可能的函数模型是( )

x

4

5

6

7

8

9

10

y

15

17

19

21

23

25

27

A.一次函数模型 B.二次函数模型 C.指数函数模型 D.对数函数模型

查看答案和解析>>

科目:高中数学 来源:2016届宁夏吴忠中学高三上学期第四次月考理科数学试卷(解析版) 题型:选择题

全集,集合,那么集合( )

A. B.

C. D.

查看答案和解析>>

科目:高中数学 来源:2015-2016学年甘肃天水一中高一上一学段中考试数学试卷(解析版) 题型:解答题

已知函数f(x)对任意x、y∈R都有f(x+y)=f(x)+f(y),且x>0时,f(x)<0,f(1)=-2.

(1)判断函数f(x)的奇偶性.

(2)当x∈[-3,3]时,函数f(x)是否有最值?如果有,求出最值;如果没有,请说明理由.

查看答案和解析>>

科目:高中数学 来源:2016届河北省邯郸市高三一轮考试二文科数学试卷(解析版) 题型:选择题

一条光线从点(-2,-3)射出,经y轴反射与圆相切,则反射光线所在的直线的斜率为( )

A. B. C. D.

查看答案和解析>>

科目:高中数学 来源:2015-2016学年湖南省衡阳市高二上期中理科数学试卷(解析版) 题型:选择题

下列四个函数中,函数值的最小值为2的是( )

A、

B、

C、

D、

查看答案和解析>>

科目:高中数学 来源:2015-2016学年贵州省高一上学期中考试数学试卷(解析版) 题型:解答题

已知函数

(1)求函数的定义域;

(2)判断的奇偶性,并说明理由;

(3)判断上的单调性.

查看答案和解析>>

科目:高中数学 来源:2015-2016学年湖北省等四校高二上学期期中理科数学试卷(解析版) 题型:选择题

下列说法正确的是( )

A.事件A、B中至少有一个发生的概率一定比A、B中恰有一个发生的概率大

B.A、B同时发生的概率一定比A、B中恰有一个发生的概率小

C.若 则事件A与B是互斥且对立事件

D.互斥事件不一定是对立事件,对立事件一定是互斥事件事件

查看答案和解析>>

同步练习册答案